🇳🇴 🇬🇧 🇩🇪 🇨🇿 🇫🇮

Meteor, poloha: Spetalen 2016-08-14 20:31:34 UTC

Soubor KML  |  InteraktivnĂ­ mapa

Mapa zobrazuje dráhy meteoru. Světlejší čáry ukazují směry od pozorovacích stanic při objevení se meteoru a tmavší čáry, kde byl naposledy viděn. Modrá šipka značí viditelnou dráhu meteoru.

static map
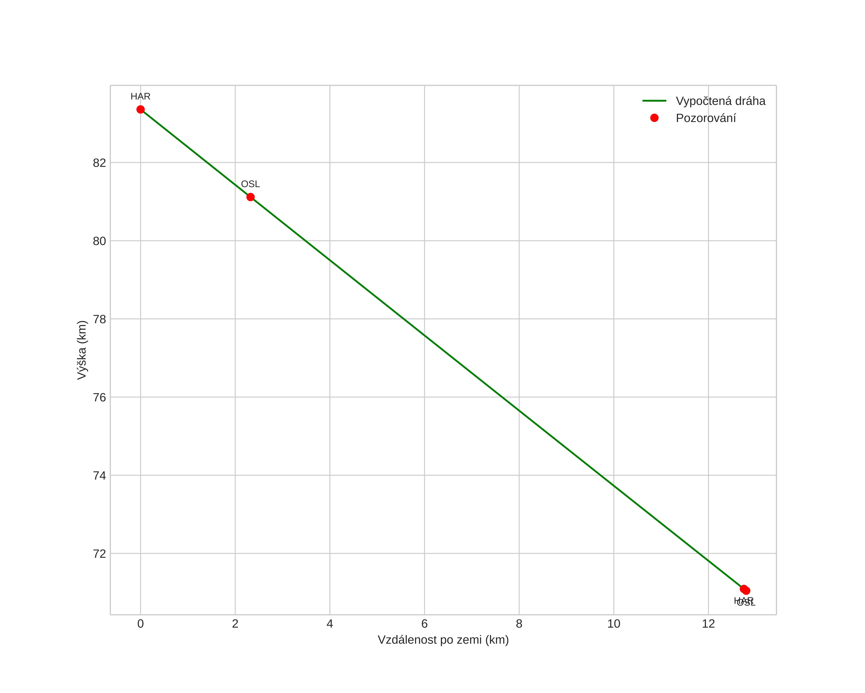
height profile
Atmosférická dráha meteoru:
Počáteční výška: 83,4 km
Konečná výška: 71,0 km
Počáteční poloha: 59,907N 12,051E
Konečná poloha: 60,004N 11,927E
Směr: 327,3°
Sklon: 44,1°
VstupnĂ­ rychlost: 26,7 km/s
Rektascenze radiantu: 20:29 (307,5°)
Deklinace radiantu: 15,1°
MeteorickĂ˝ roj: sporadickĂ˝
Elementy dráhy meteoroidu:
Vzdálenost v periheliu: 0,737 AU
Excentricita: 0,893
Sklon dráhy: 22,2°
Délka vzestupného uzlu: 142,2°
Argument perihelia: 245,0°
Střední anomálie: 357,9°
Epocha: 2016 AUG 14 20:31:34
orbit plot

NeinteraktivnĂ­ graf | InteraktivnĂ­ graf

position vs time
speed and acceleration