🇳🇴 🇬🇧 🇩🇪 🇨🇿 🇫🇮

Meteor, poloha: Uddevalla 2016-08-15 21:46:35 UTC

Soubor KML  |  InteraktivnĂ­ mapa

Mapa zobrazuje dráhy meteoru. Světlejší čáry ukazují směry od pozorovacích stanic při objevení se meteoru a tmavší čáry, kde byl naposledy viděn. Modrá šipka značí viditelnou dráhu meteoru.

static map
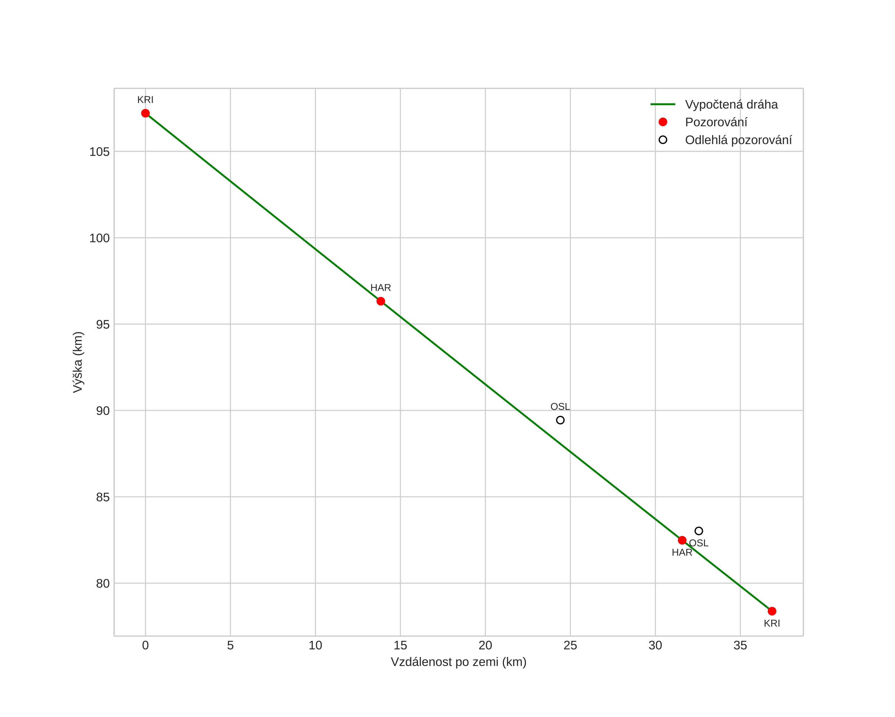
height profile
Atmosférická dráha meteoru:
Počáteční výška: 107,2 km
Konečná výška: 78,4 km
Počáteční poloha: 58,656N 12,286E
Konečná poloha: 58,396N 11,893E
Směr: 218,4°
Sklon: 38,0°
VstupnĂ­ rychlost: 62,1 km/s
Rektascenze radiantu: 03:47 (56,8°)
Deklinace radiantu: 57,7°
MeteorickĂ˝ roj: Perseidy
Elementy dráhy meteoroidu:
Vzdálenost v periheliu: 0,926 AU
Excentricita: 1,053
Sklon dráhy: 116,0°
Délka vzestupného uzlu: 143,2°
Argument perihelia: 146,4°
Střední anomálie: 0,3°
Epocha: 2016 AUG 15 21:46:35
orbit plot

NeinteraktivnĂ­ graf | InteraktivnĂ­ graf

position vs time
speed and acceleration