🇳🇴 🇬🇧 🇩🇪 🇨🇿 🇫🇮

Meteor, poloha: Gjern 2016-08-16 20:10:19 UTC

Soubor KML  |  InteraktivnĂ­ mapa

Mapa zobrazuje dráhy meteoru. Světlejší čáry ukazují směry od pozorovacích stanic při objevení se meteoru a tmavší čáry, kde byl naposledy viděn. Modrá šipka značí viditelnou dráhu meteoru.

static map
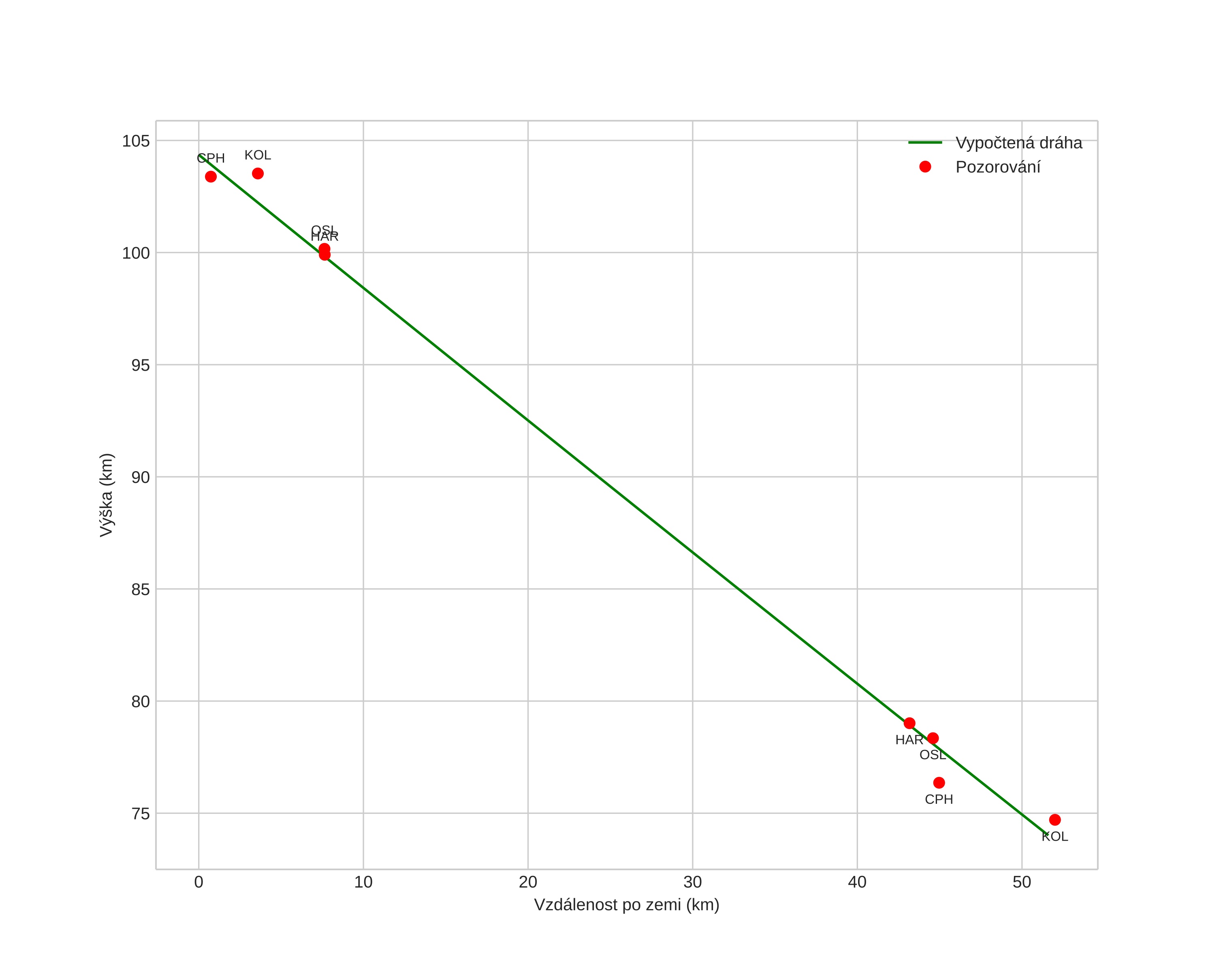
height profile
Atmosférická dráha meteoru:
Počáteční výška: 104,4 km
Konečná výška: 74,0 km
Počáteční poloha: 56,634N 10,115E
Konečná poloha: 56,214N 9,759E
Směr: 205,2°
Sklon: 30,5°
VstupnĂ­ rychlost: 58,2 km/s
Rektascenze radiantu: 03:36 (54,1°)
Deklinace radiantu: 58,1°
MeteorickĂ˝ roj: Perseidy
Elementy dráhy meteoroidu:
Vzdálenost v periheliu: 0,938 AU
Excentricita: 0,750
Sklon dráhy: 113,0°
Délka vzestupného uzlu: 144,1°
Argument perihelia: 146,1°
Střední anomálie: 3,4°
Epocha: 2016 AUG 16 20:10:19
orbit plot

NeinteraktivnĂ­ graf | InteraktivnĂ­ graf

position vs time
speed and acceleration