🇳🇴 🇬🇧 🇩🇪 🇨🇿 🇫🇮

Meteor, poloha: Tørring 2016-08-16 20:50:56 UTC

Soubor KML  |  InteraktivnĂ­ mapa

Mapa zobrazuje dráhy meteoru. Světlejší čáry ukazují směry od pozorovacích stanic při objevení se meteoru a tmavší čáry, kde byl naposledy viděn. Modrá šipka značí viditelnou dráhu meteoru.

static map
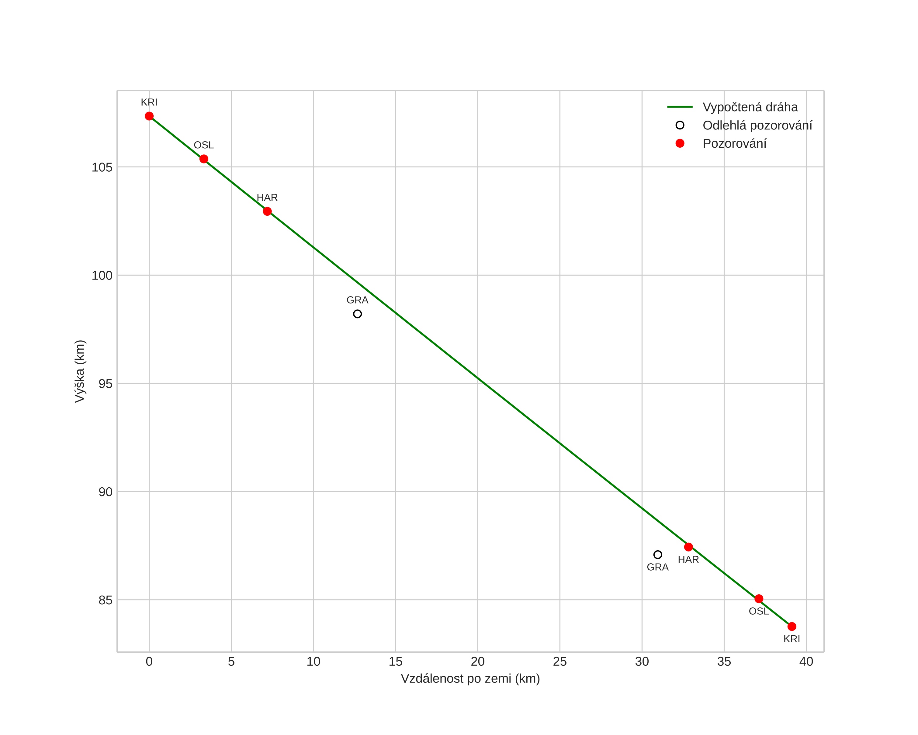
height profile
Atmosférická dráha meteoru:
Počáteční výška: 107,3 km
Konečná výška: 83,8 km
Počáteční poloha: 56,168N 9,691E
Konečná poloha: 55,847N 9,434E
Směr: 204,2°
Sklon: 31,0°
VstupnĂ­ rychlost: 58,8 km/s
Rektascenze radiantu: 04:17 (64,4°)
Deklinace radiantu: 59,3°
MeteorickĂ˝ roj: Perseidy
Elementy dráhy meteoroidu:
Vzdálenost v periheliu: 0,862 AU
Excentricita: 0,889
Sklon dráhy: 111,6°
Délka vzestupného uzlu: 144,2°
Argument perihelia: 133,1°
Střední anomálie: 1,4°
Epocha: 2016 AUG 16 20:50:56
orbit plot

NeinteraktivnĂ­ graf | InteraktivnĂ­ graf

position vs time
speed and acceleration