🇳🇴 🇬🇧 🇩🇪 🇨🇿 🇫🇮

Meteor, poloha: VikesĂĄ 2016-08-17 02:15:28 UTC

Soubor KML  |  InteraktivnĂ­ mapa

Mapa zobrazuje dráhy meteoru. Světlejší čáry ukazují směry od pozorovacích stanic při objevení se meteoru a tmavší čáry, kde byl naposledy viděn. Modrá šipka značí viditelnou dráhu meteoru.

static map
height profile
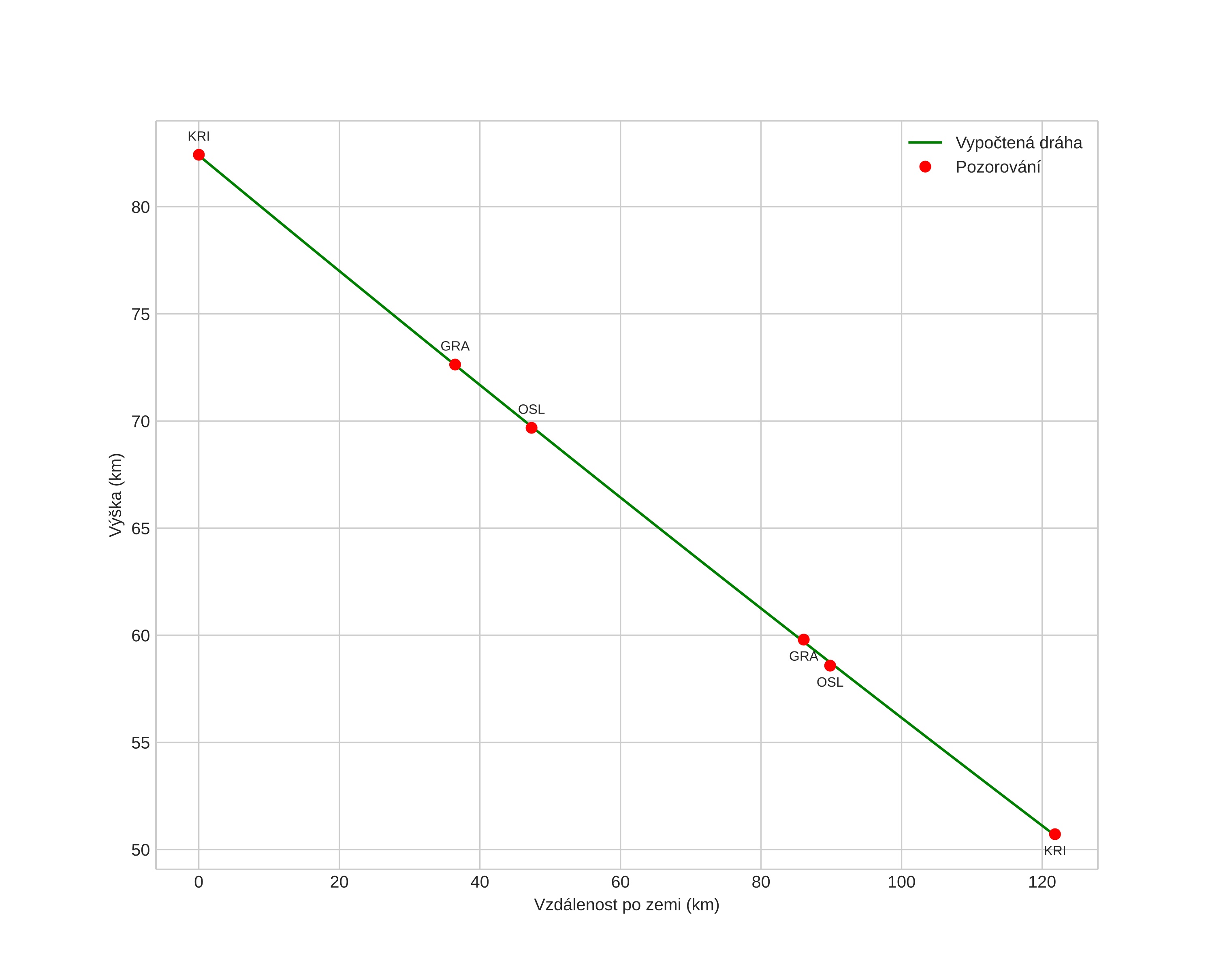
Atmosférická dráha meteoru:
Počáteční výška: 82,4 km
Konečná výška: 50,7 km
Počáteční poloha: 59,861N 6,719E
Konečná poloha: 58,782N 6,349E
Směr: 190,1°
Sklon: 14,6°
VstupnĂ­ rychlost: 19,9 km/s
Rektascenze radiantu: 11:38 (174,6°)
Deklinace radiantu: 36,1°
MeteorickĂ˝ roj: sporadickĂ˝
Elementy dráhy meteoroidu:
Vzdálenost v periheliu: 0,833 AU
Excentricita: 0,614
Sklon dráhy: 14,3°
Délka vzestupného uzlu: 144,4°
Argument perihelia: 122,2°
Střední anomálie: 12,5°
Epocha: 2016 AUG 17 02:15:28
orbit plot

NeinteraktivnĂ­ graf | InteraktivnĂ­ graf

position vs time
speed and acceleration