🇳🇴 🇬🇧 🇩🇪 🇨🇿 🇫🇮

Meteor, poloha: Hovden 2016-08-26 22:35:45 UTC

Soubor KML  |  InteraktivnĂ­ mapa

Mapa zobrazuje dráhy meteoru. Světlejší čáry ukazují směry od pozorovacích stanic při objevení se meteoru a tmavší čáry, kde byl naposledy viděn. Modrá šipka značí viditelnou dráhu meteoru.

static map
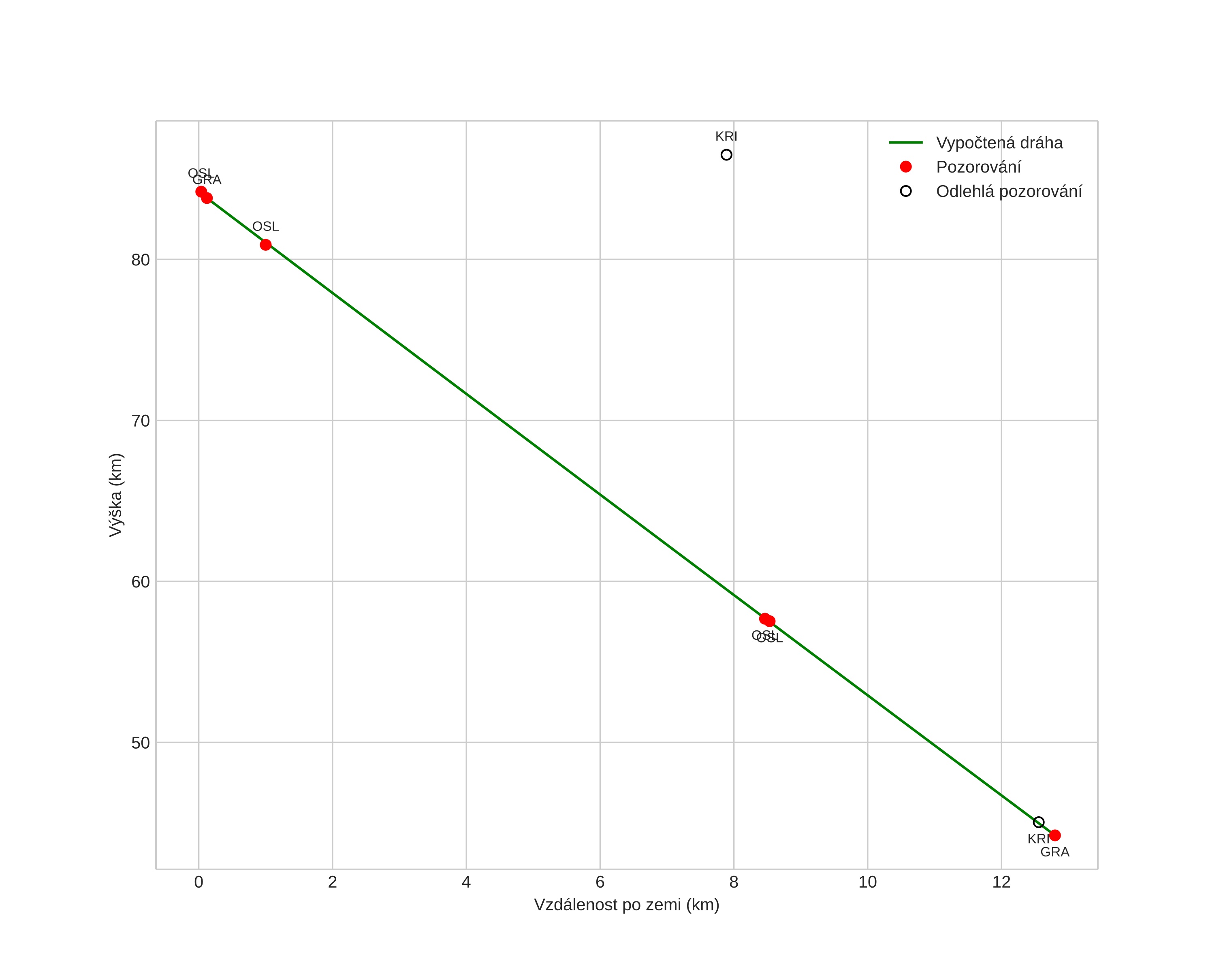
height profile
Atmosférická dráha meteoru:
Počáteční výška: 84,2 km
Konečná výška: 44,2 km
Počáteční poloha: 59,379N 7,361E
Konečná poloha: 59,495N 7,364E
Směr: 0,8°
Sklon: 72,3°
VstupnĂ­ rychlost: 25,8 km/s
Rektascenze radiantu: 21:22 (320,6°)
Deklinace radiantu: 40,5°
MeteorickĂ˝ roj: sporadickĂ˝
Elementy dráhy meteoroidu:
Vzdálenost v periheliu: 0,782 AU
Excentricita: 0,594
Sklon dráhy: 33,9°
Délka vzestupného uzlu: 153,9°
Argument perihelia: 246,8°
Střední anomálie: 343,6°
Epocha: 2016 AUG 26 22:35:45
orbit plot

NeinteraktivnĂ­ graf | InteraktivnĂ­ graf

position vs time
speed and acceleration