🇳🇴 🇬🇧 🇩🇪 🇨🇿 🇫🇮

Meteor, poloha: Kviteseid 2016-09-05 01:59:31 UTC

Soubor KML  |  InteraktivnĂ­ mapa

Mapa zobrazuje dráhy meteoru. Světlejší čáry ukazují směry od pozorovacích stanic při objevení se meteoru a tmavší čáry, kde byl naposledy viděn. Modrá šipka značí viditelnou dráhu meteoru.

static map
height profile
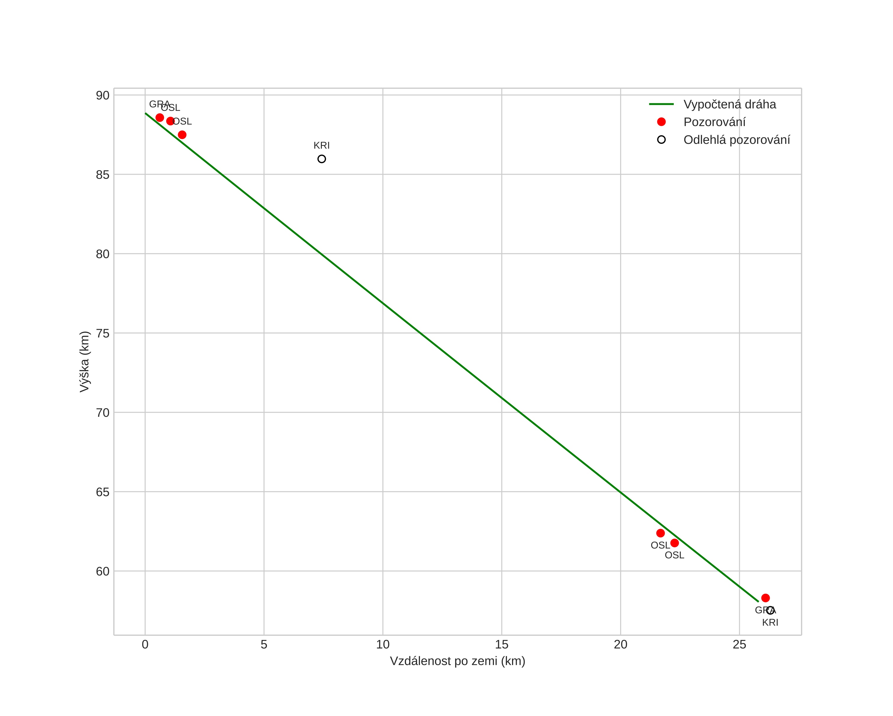
Atmosférická dráha meteoru:
Počáteční výška: 88,9 km
Konečná výška: 58,1 km
Počáteční poloha: 59,787N 8,463E
Konečná poloha: 59,558N 8,382E
Směr: 190,2°
Sklon: 50,0°
VstupnĂ­ rychlost: 32,6 km/s
Rektascenze radiantu: 11:25 (171,4°)
Deklinace radiantu: 77,9°
MeteorickĂ˝ roj: sporadickĂ˝
Elementy dráhy meteoroidu:
Vzdálenost v periheliu: 0,880 AU
Excentricita: 0,437
Sklon dráhy: 54,6°
Délka vzestupného uzlu: 162,7°
Argument perihelia: 125,5°
Střední anomálie: 21,1°
Epocha: 2016 SEP 05 01:59:31
orbit plot

NeinteraktivnĂ­ graf | InteraktivnĂ­ graf

position vs time
speed and acceleration