🇳🇴 🇬🇧 🇩🇪 🇨🇿 🇫🇮

Meteor, poloha: Valle 2016-09-05 03:07:51 UTC

Soubor KML  |  InteraktivnĂ­ mapa

Mapa zobrazuje dráhy meteoru. Světlejší čáry ukazují směry od pozorovacích stanic při objevení se meteoru a tmavší čáry, kde byl naposledy viděn. Modrá šipka značí viditelnou dráhu meteoru.

static map
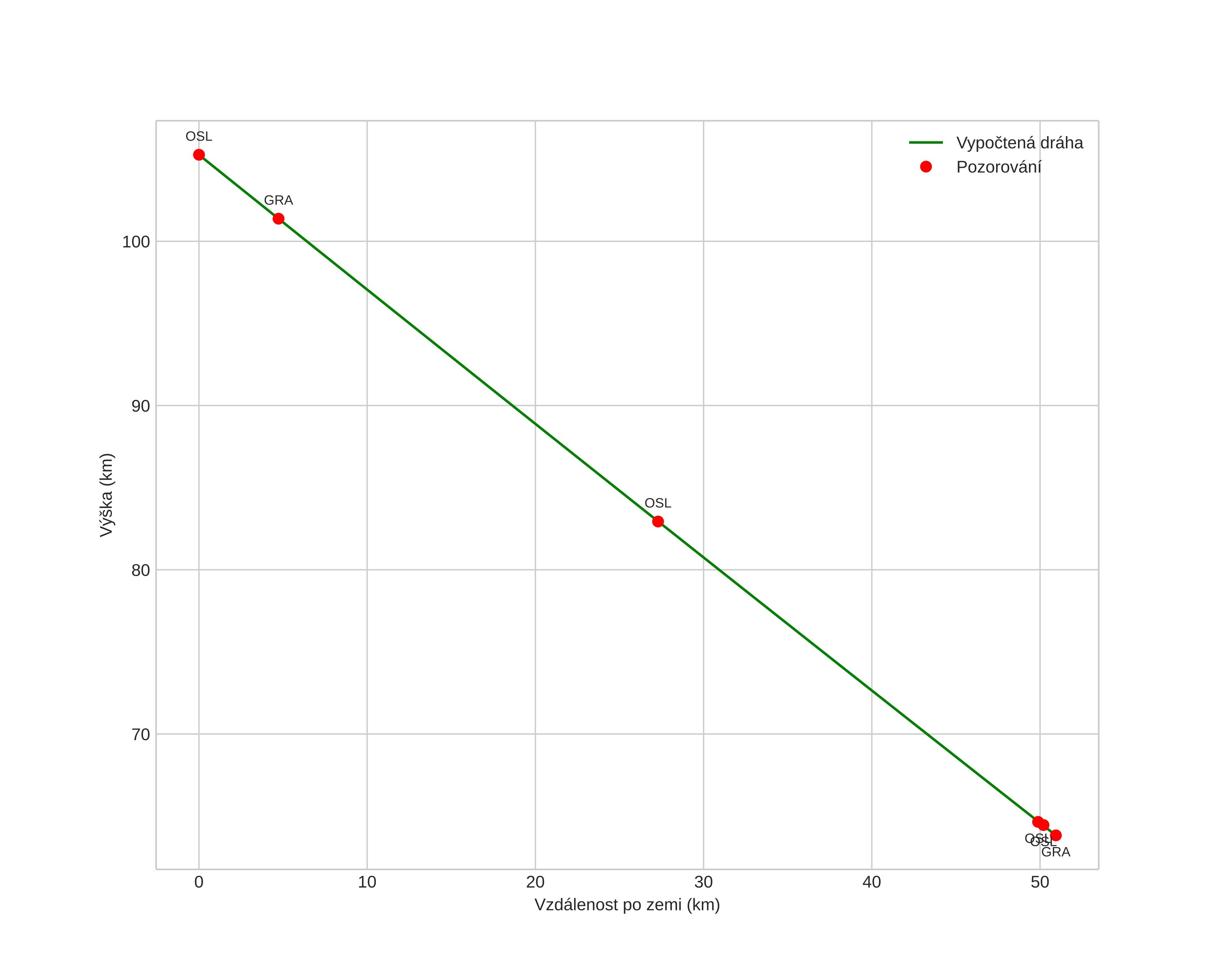
height profile
Atmosférická dráha meteoru:
Počáteční výška: 105,3 km
Konečná výška: 63,8 km
Počáteční poloha: 59,007N 8,064E
Konečná poloha: 59,321N 7,414E
Směr: 313,6°
Sklon: 39,2°
VstupnĂ­ rychlost: 65,8 km/s
Rektascenze radiantu: 04:59 (74,9°)
Deklinace radiantu: 15,0°
MeteorickĂ˝ roj: sporadickĂ˝
Elementy dráhy meteoroidu:
Vzdálenost v periheliu: 1,001 AU
Excentricita: 0,447
Sklon dráhy: 165,9°
Délka vzestupného uzlu: 342,8°
Argument perihelia: 347,6°
Střední anomálie: 4,3°
Epocha: 2016 SEP 05 03:07:51
orbit plot

NeinteraktivnĂ­ graf | InteraktivnĂ­ graf

position vs time
speed and acceleration