🇳🇴 🇬🇧 🇩🇪 🇨🇿 🇫🇮

Meteor, poloha: Nesbyen 2016-09-06 22:35:47 UTC

Soubor KML  |  InteraktivnĂ­ mapa

Mapa zobrazuje dráhy meteoru. Světlejší čáry ukazují směry od pozorovacích stanic při objevení se meteoru a tmavší čáry, kde byl naposledy viděn. Modrá šipka značí viditelnou dráhu meteoru.

static map
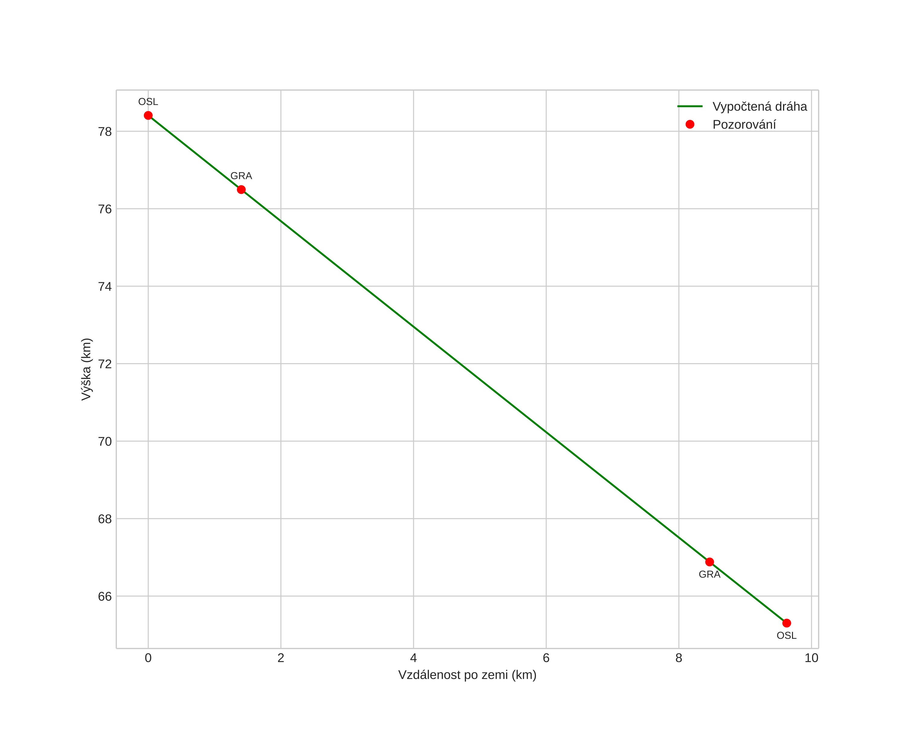
height profile
Atmosférická dráha meteoru:
Počáteční výška: 78,4 km
Konečná výška: 65,3 km
Počáteční poloha: 60,500N 9,049E
Konečná poloha: 60,485N 9,222E
Směr: 99,8°
Sklon: 53,7°
VstupnĂ­ rychlost: 17,9 km/s
Rektascenze radiantu: 17:48 (267,1°)
Deklinace radiantu: 44,9°
MeteorickĂ˝ roj: sporadickĂ˝
Elementy dráhy meteoroidu:
Vzdálenost v periheliu: 1,006 AU
Excentricita: 0,571
Sklon dráhy: 20,8°
Délka vzestupného uzlu: 164,5°
Argument perihelia: 185,8°
Střední anomálie: 358,7°
Epocha: 2016 SEP 06 22:35:47
orbit plot

NeinteraktivnĂ­ graf | InteraktivnĂ­ graf

position vs time
speed and acceleration