🇳🇴 🇬🇧 🇩🇪 🇨🇿 🇫🇮

Meteor, poloha: Segalstad bru 2016-09-11 22:29:33 UTC

Soubor KML  |  InteraktivnĂ­ mapa

Mapa zobrazuje dráhy meteoru. Světlejší čáry ukazují směry od pozorovacích stanic při objevení se meteoru a tmavší čáry, kde byl naposledy viděn. Modrá šipka značí viditelnou dráhu meteoru.

static map
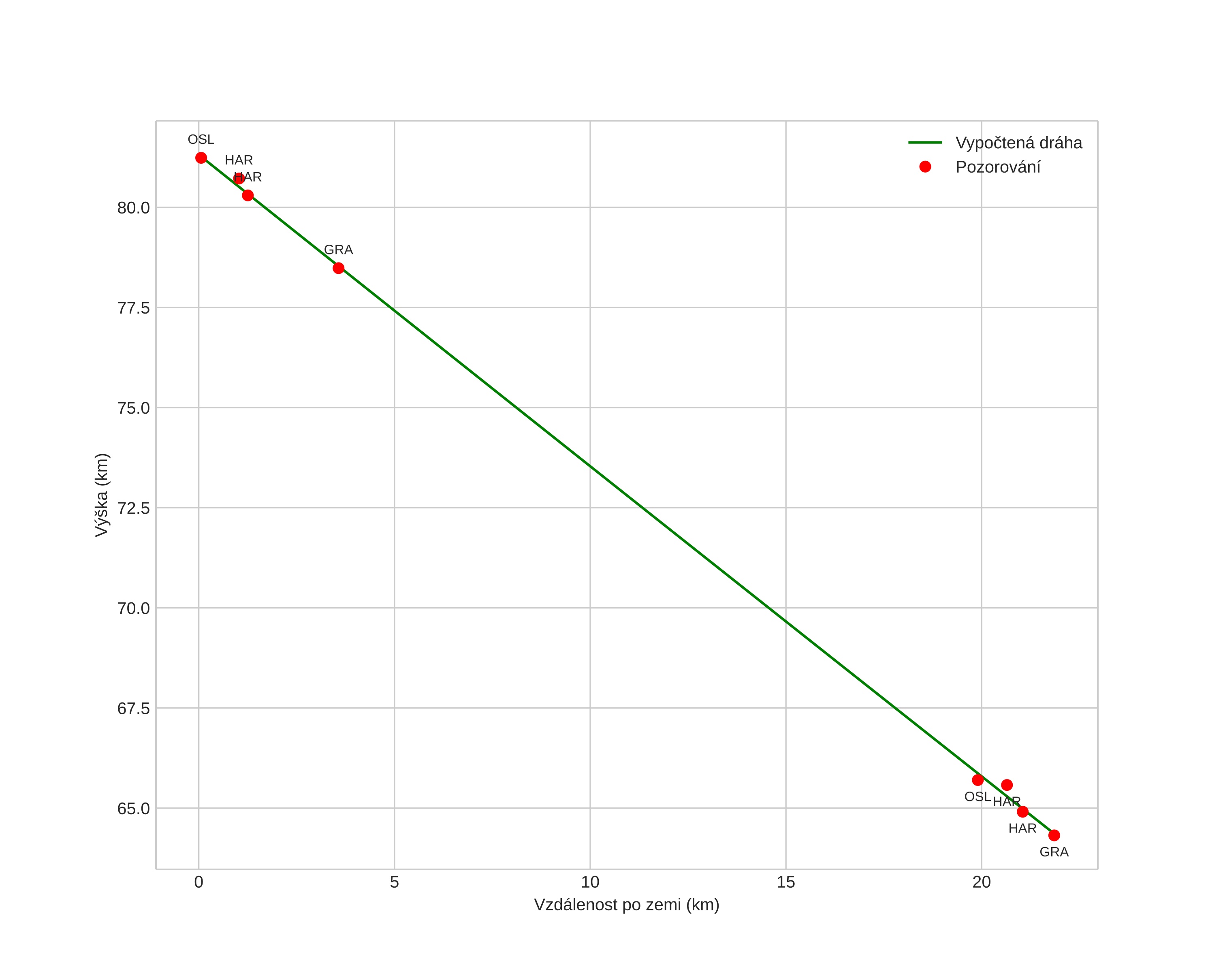
height profile
Atmosférická dráha meteoru:
Počáteční výška: 81,3 km
Konečná výška: 64,3 km
Počáteční poloha: 61,296N 9,797E
Konečná poloha: 61,164N 10,100E
Směr: 132,1°
Sklon: 37,9°
VstupnĂ­ rychlost: 19,0 km/s
Rektascenze radiantu: 15:10 (227,7°)
Deklinace radiantu: 47,2°
MeteorickĂ˝ roj: sporadickĂ˝
Elementy dráhy meteoroidu:
Vzdálenost v periheliu: 0,967 AU
Excentricita: 0,543
Sklon dráhy: 22,1°
Délka vzestupného uzlu: 169,4°
Argument perihelia: 152,7°
Střední anomálie: 7,0°
Epocha: 2016 SEP 11 22:29:33
orbit plot

NeinteraktivnĂ­ graf | InteraktivnĂ­ graf

position vs time
speed and acceleration