🇳🇴 🇬🇧 🇩🇪 🇨🇿 🇫🇮

Meteor, poloha: Kirkebygda 2016-09-19 02:35:24 UTC

Soubor KML  |  InteraktivnĂ­ mapa

Mapa zobrazuje dráhy meteoru. Světlejší čáry ukazují směry od pozorovacích stanic při objevení se meteoru a tmavší čáry, kde byl naposledy viděn. Modrá šipka značí viditelnou dráhu meteoru.

static map
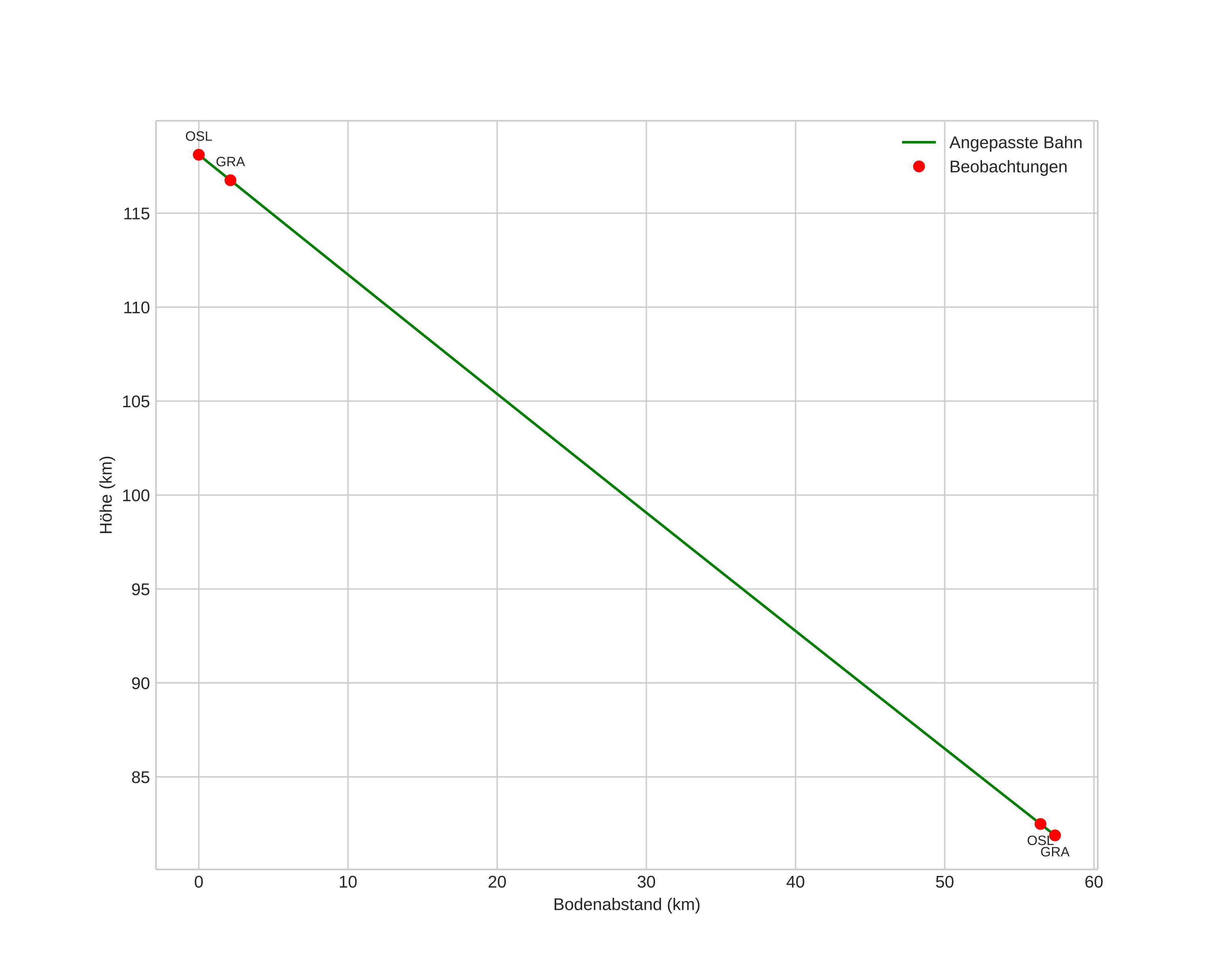
height profile
Atmosférická dráha meteoru:
Počáteční výška: 118,1 km
Konečná výška: 81,9 km
Počáteční poloha: 59,327N 11,826E
Konečná poloha: 59,736N 11,207E
Směr: 322,8°
Sklon: 32,2°
VstupnĂ­ rychlost: 71,4 km/s
Rektascenze radiantu: 05:18 (79,7°)
Deklinace radiantu: 6,2°
MeteorickĂ˝ roj: sporadickĂ˝
Elementy dráhy meteoroidu:
Vzdálenost v periheliu: 0,966 AU
Excentricita: 1,119
Sklon dráhy: 151,2°
Délka vzestupného uzlu: 356,4°
Argument perihelia: 22,0°
Střední anomálie: -0,6°
Epocha: 2016 SEP 19 02:35:24
orbit plot

NeinteraktivnĂ­ graf | InteraktivnĂ­ graf

position vs time
speed and acceleration