🇳🇴 🇬🇧 🇩🇪 🇨🇿 🇫🇮

Meteor Kirkebygdan yllä 2016-09-19 02:35:24 UTC

KML-tiedosto  |  Interaktiivinen kartta

Kartta näyttää meteorin suuntahavainnot. Vaaleammat viivat näyttävät suunnat havaintoasemilta meteorin ilmestyessä, ja tummemmat viivat näyttävät, missä se viimeksi nähtiin. Sininen nuoli näyttää meteorin näkyvän lennon.

static map
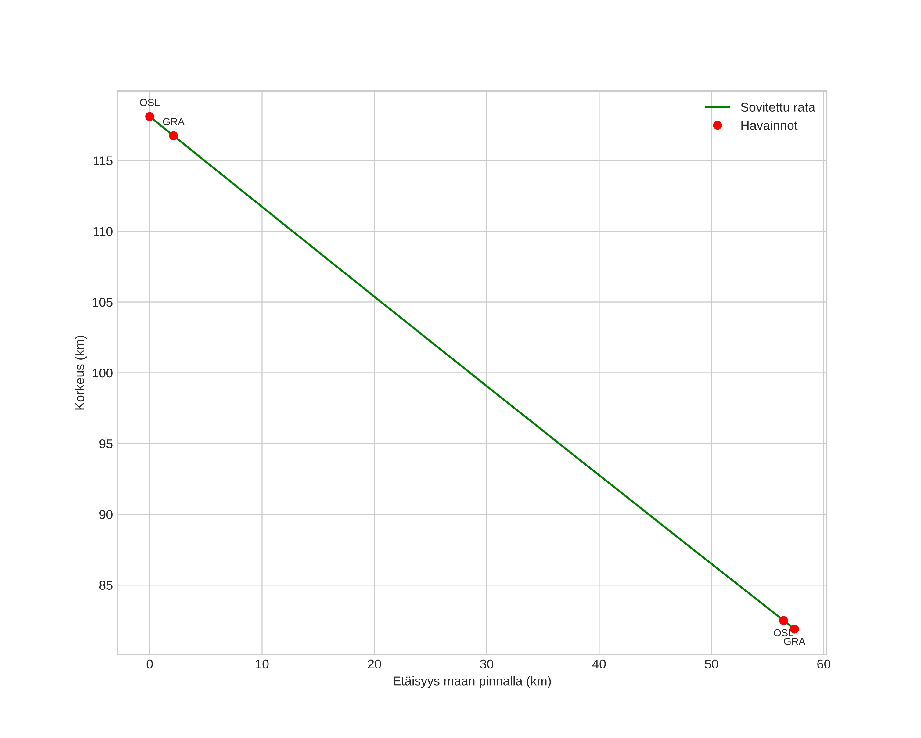
height profile
Meteorin ilmakehärata:
Alkukorkeus: 118,1 km
Loppukorkeus: 81,9 km
Alkupiste: 59,327N 11,826E
Loppupiste: 59,736N 11,207E
Suunta: 322,8°
Kallistuskulma: 32,2°
Tulonopeus: 71,4 km/s
Radiantin R,A,: 05:18 (79,7°)
Radiantin Dekl,: 6,2°
Meteoriparvi: Sporadinen
Meteoroidin rataelementit:
Perihelietäisyys: 0,966 AU
Eksentrisyys: 1,119
Inklinaatio: 151,2°
Nousevan solmun pituus: 356,4°
Perihelin argumentti: 22,0°
Keskianomalia: -0,6°
Epookki: 2016 SEP 19 02:35:24
orbit plot

Ei-interaktiivinen kuvaaja | Interaktiivinen kuvaaja

position vs time
speed and acceleration