🇳🇴 🇬🇧 🇩🇪 🇨🇿 🇫🇮

Meteor, poloha: Lerwick 2016-09-19 21:23:29 UTC

Soubor KML  |  InteraktivnĂ­ mapa

Mapa zobrazuje dráhy meteoru. Světlejší čáry ukazují směry od pozorovacích stanic při objevení se meteoru a tmavší čáry, kde byl naposledy viděn. Modrá šipka značí viditelnou dráhu meteoru.

static map
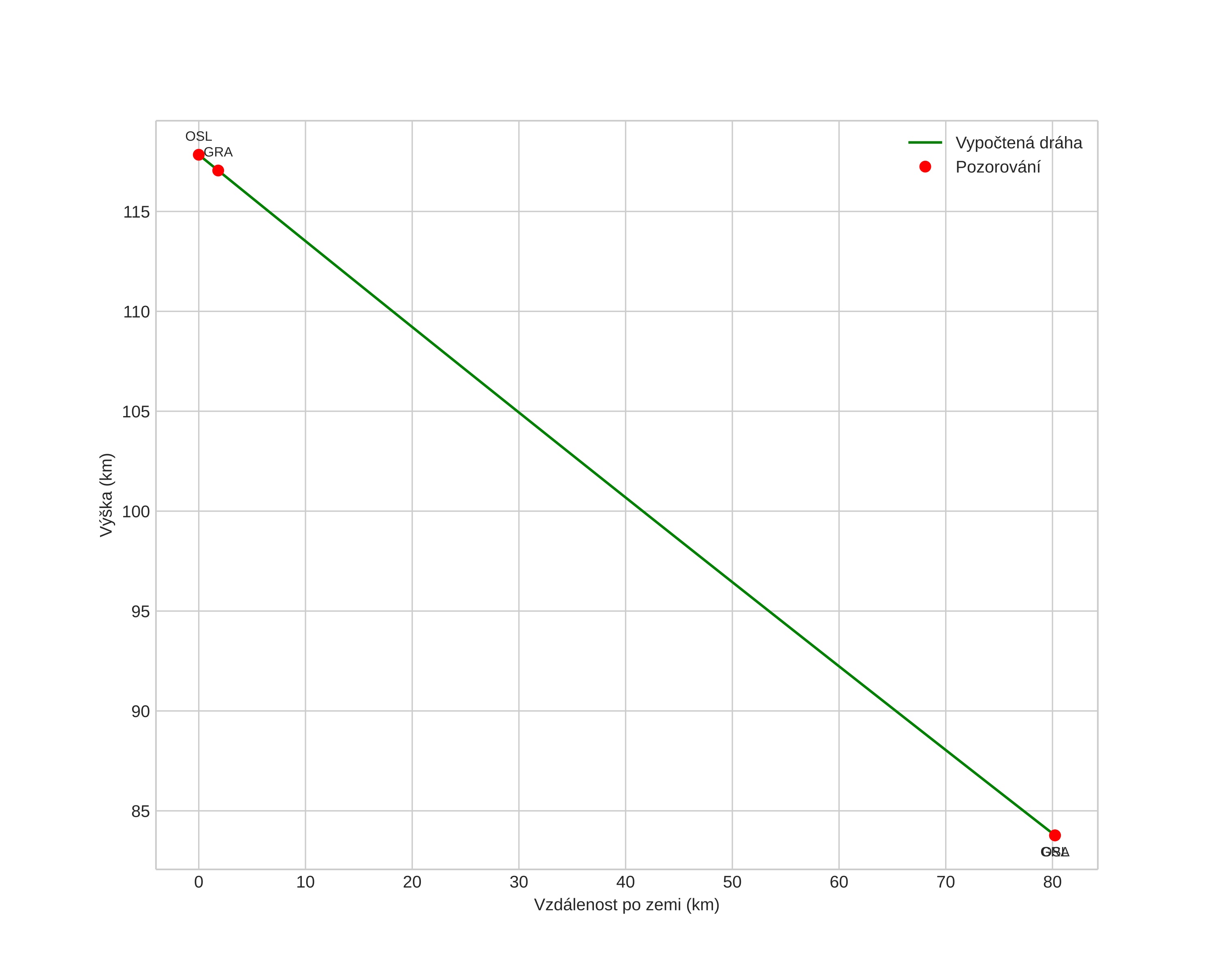
height profile
Atmosférická dráha meteoru:
Počáteční výška: 117,8 km
Konečná výška: 83,8 km
Počáteční poloha: 64,487N -0,545E
Konečná poloha: 64,185N 0,969E
Směr: 114,0°
Sklon: 23,0°
VstupnĂ­ rychlost: 73,0 km/s
Rektascenze radiantu: 14:30 (217,7°)
Deklinace radiantu: 30,5°
MeteorickĂ˝ roj: sporadickĂ˝
Elementy dráhy meteoroidu:
Vzdálenost v periheliu: 0,813 AU
Excentricita: 6,181
Sklon dráhy: 42,9°
Délka vzestupného uzlu: 177,1°
Argument perihelia: 141,2°
Střední anomálie: 197,5°
Epocha: 2016 SEP 19 21:23:29
orbit plot

NeinteraktivnĂ­ graf | InteraktivnĂ­ graf

position vs time
speed and acceleration