🇳🇴 🇬🇧 🇩🇪 🇨🇿 🇫🇮

Meteor, poloha: Bruflat 2016-09-19 23:00:42 UTC

Soubor KML  |  InteraktivnĂ­ mapa

Mapa zobrazuje dráhy meteoru. Světlejší čáry ukazují směry od pozorovacích stanic při objevení se meteoru a tmavší čáry, kde byl naposledy viděn. Modrá šipka značí viditelnou dráhu meteoru.

static map
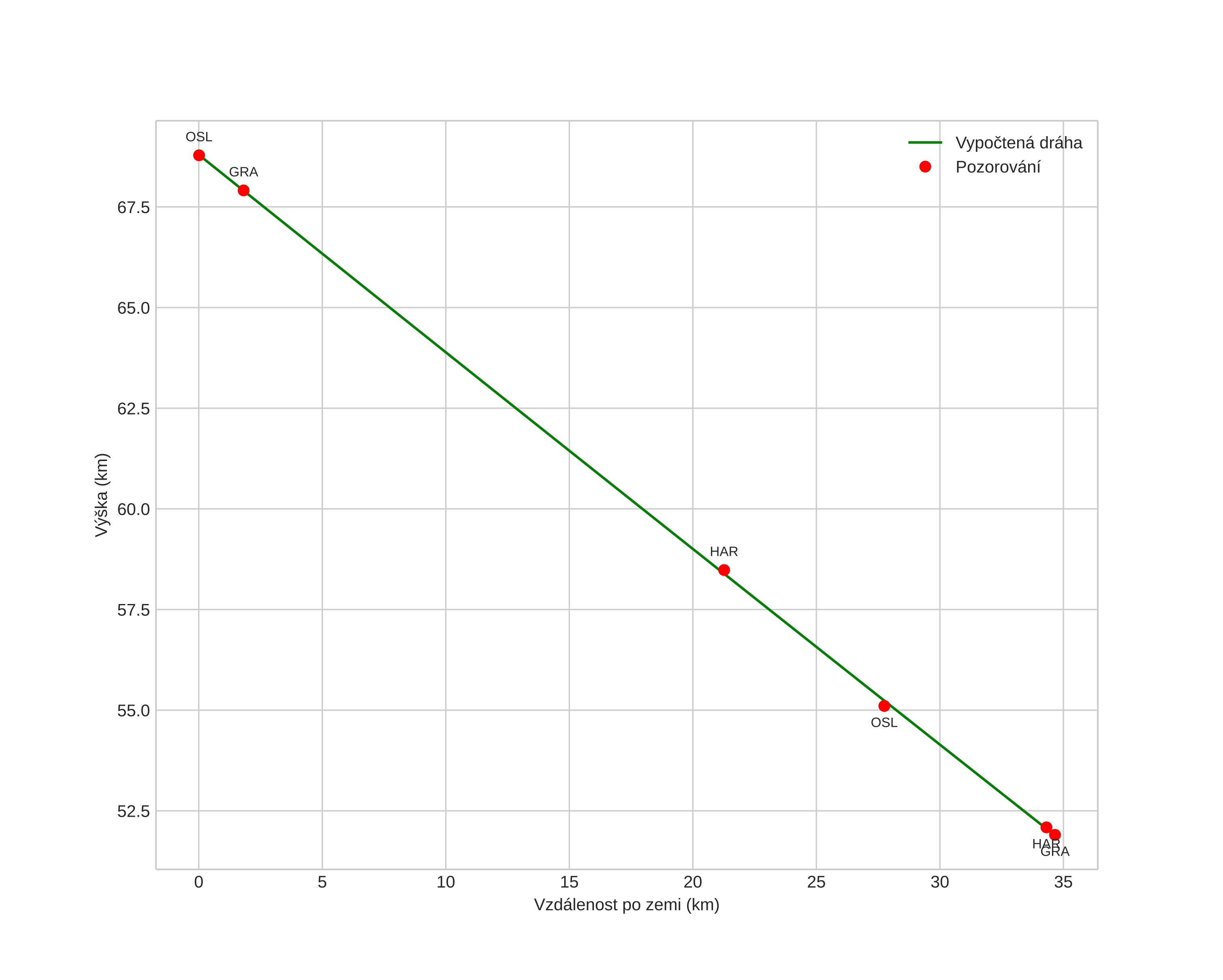
height profile
Atmosférická dráha meteoru:
Počáteční výška: 68,8 km
Konečná výška: 51,9 km
Počáteční poloha: 60,845N 9,425E
Konečná poloha: 61,080N 9,848E
Směr: 41,0°
Sklon: 26,0°
VstupnĂ­ rychlost: 12,8 km/s
Rektascenze radiantu: 20:34 (308,7°)
Deklinace radiantu: -19,0°
MeteorickĂ˝ roj: sporadickĂ˝
Elementy dráhy meteoroidu:
Vzdálenost v periheliu: 0,974 AU
Excentricita: 0,406
Sklon dráhy: 0,1°
Délka vzestupného uzlu: 357,2°
Argument perihelia: 26,3°
Střední anomálie: 349,6°
Epocha: 2016 SEP 19 23:00:42
orbit plot

NeinteraktivnĂ­ graf | InteraktivnĂ­ graf

position vs time
speed and acceleration