🇳🇴 🇬🇧 🇩🇪 🇨🇿 🇫🇮

Meteor, poloha: Årøysund 2016-09-30 19:15:06 UTC

Soubor KML  |  InteraktivnĂ­ mapa

Mapa zobrazuje dráhy meteoru. Světlejší čáry ukazují směry od pozorovacích stanic při objevení se meteoru a tmavší čáry, kde byl naposledy viděn. Modrá šipka značí viditelnou dráhu meteoru.

static map
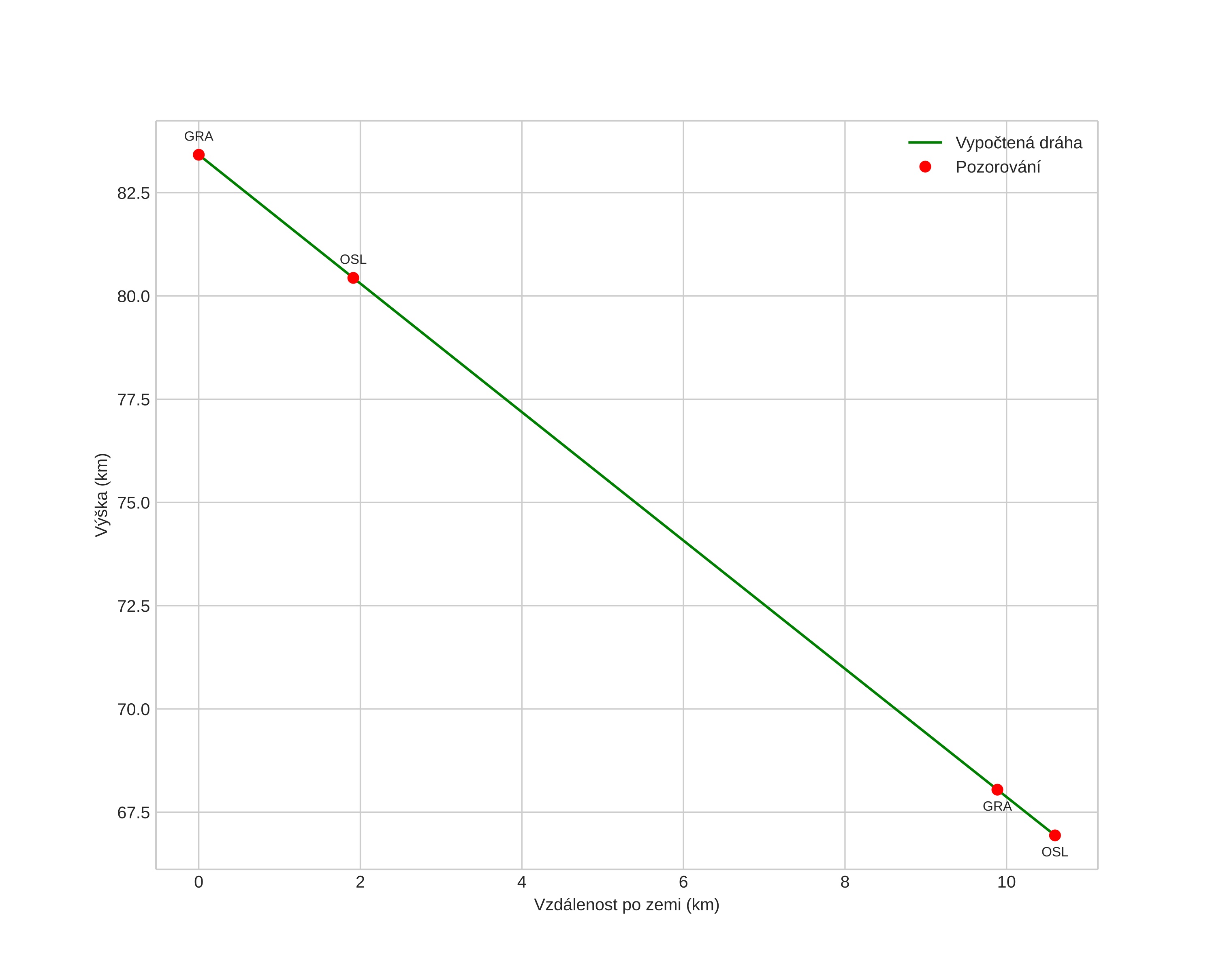
height profile
Atmosférická dráha meteoru:
Počáteční výška: 83,4 km
Konečná výška: 66,9 km
Počáteční poloha: 59,130N 10,517E
Konečná poloha: 59,219N 10,447E
Směr: 337,9°
Sklon: 57,3°
VstupnĂ­ rychlost: 17,0 km/s
Rektascenze radiantu: 21:29 (322,4°)
Deklinace radiantu: 23,1°
MeteorickĂ˝ roj: sporadickĂ˝
Elementy dráhy meteoroidu:
Vzdálenost v periheliu: 0,923 AU
Excentricita: 0,615
Sklon dráhy: 11,8°
Délka vzestupného uzlu: 187,8°
Argument perihelia: 217,3°
Střední anomálie: 352,6°
Epocha: 2016 SEP 30 19:15:06
orbit plot

NeinteraktivnĂ­ graf | InteraktivnĂ­ graf

position vs time
speed and acceleration