🇳🇴 🇬🇧 🇩🇪 🇨🇿 🇫🇮

Meteor over Lillesand 2016-09-30 22:01:17 UTC

KML-fil  |  Interaktivt kart

Kartet viser peilingene for meteoren. De lysere linjene viser retningene fra observasjonsstedene for meteorens tilsynekomst, og de mørkere linjene viser hvor den sist kunne sees. Den blå pila viser meteorens synlige ferd.

static map
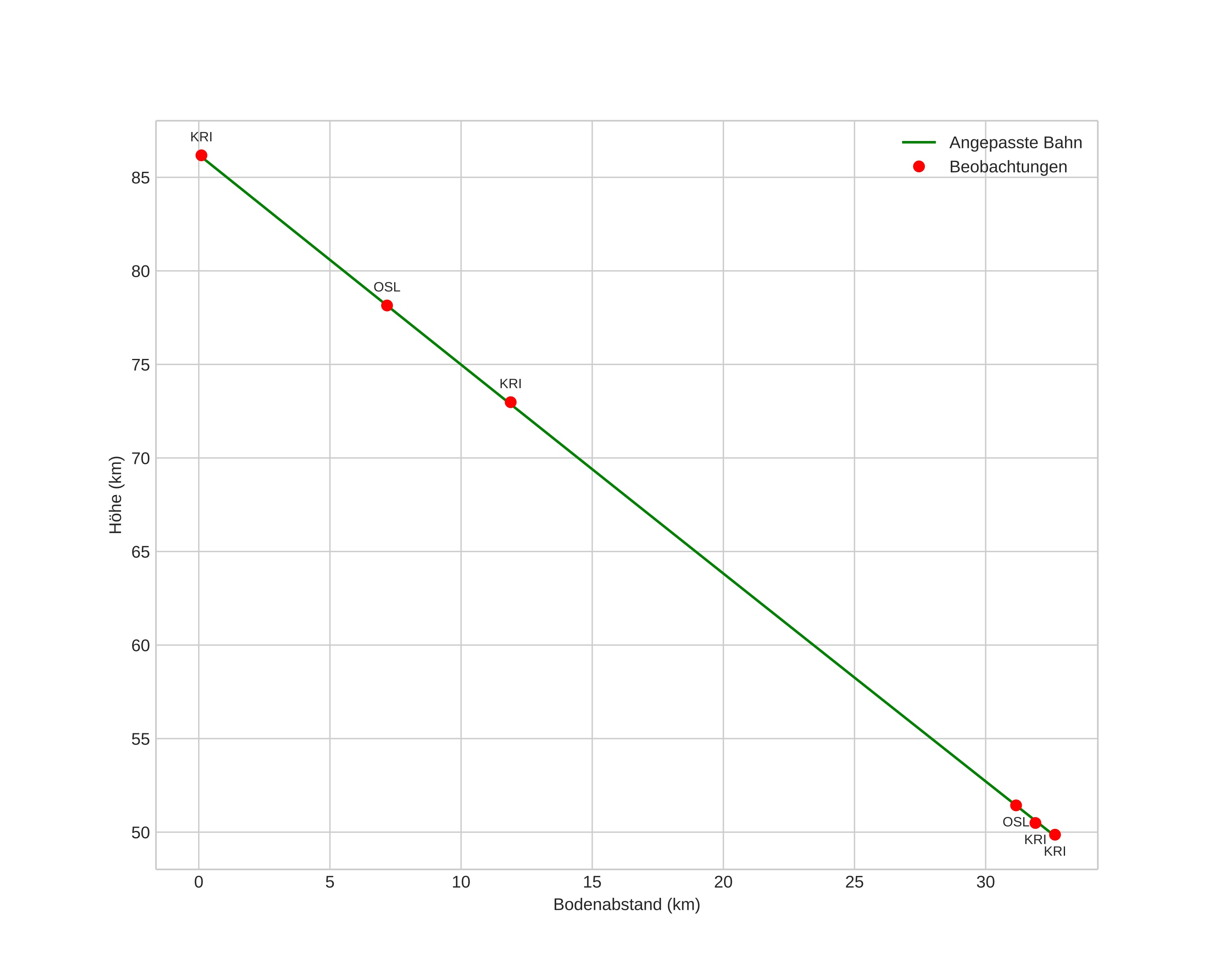
height profile
Meteorens atmosfæriske bane:
Starthøgde: 86,2 km
Slutthøgde: 49,8 km
Startposisjon: 57,938N 8,344E
Sluttposisjon: 58,229N 8,276E
Retning: 353,0°
Fallvinkel: 48,1°
Inngangshastighet: 19,2 km/s
Radiantens rektascensjon: 23:31 (352,8°)
Radiantens deklinasjon: 11,7°
Meteorsverm: sporadisk
Meteoroidens baneelement:
Perihelavstand: 0,748 AU
Eksentrisitet: 0,602
Inklinasjon: 6,5°
Knutelengde: 187,9°
Perihelargument: 250,9°
Midlere anomali: 342,7°
Epoke: 2016 SEP 30 22:01:17
orbit plot

Ikke-interaktivt plott | Interaktivt plott

position vs time
speed and acceleration

Kristiansand (KRI) cam2

fireball
gnomonic
Videoer
• Gnomonisk
• Gnomonisk med koordinater
Bilder
• Gnomonisk
• Gnomonisk med koordinater
• Ukorrigert gnomonisk med koordinater
• Gnomonisk med annotering
• Ukorrigert gnomonisk med annotering
• Original
• Original med koordinater
• Original med maske
Tekstfiler
• Deteksjon
• Observasjon
• Koordinater
• Feilmeldinger
• Logg
Lysstyrke

Kristiansand (KRI) cam4

fireball
gnomonic
Videoer
• Gnomonisk
• Gnomonisk med koordinater
Bilder
• Gnomonisk
• Gnomonisk med koordinater
• Ukorrigert gnomonisk med koordinater
• Gnomonisk med annotering
• Ukorrigert gnomonisk med annotering
• Original
• Original med koordinater
• Original med maske
Tekstfiler
• Deteksjon
• Observasjon
• Koordinater
• Feilmeldinger
• Logg
Lysstyrke

Voksenlia (OSL) cam1


gnomonic
Videoer
• Gnomonisk
• Gnomonisk med koordinater
• Original
• Original med koordinater
Bilder
• Gnomonisk
• Gnomonisk med koordinater
• Ukorrigert gnomonisk med koordinater
• Gnomonisk med annotering
• Ukorrigert gnomonisk med annotering
• Original
• Original med koordinater
• Original med maske
Tekstfiler
• Deteksjon
• Observasjon
• Koordinater
• Feilmeldinger
• Logg
Lysstyrke