🇳🇴 🇬🇧 🇩🇪 🇨🇿 🇫🇮

Meteor, poloha: Lillesand 2016-09-30 22:01:17 UTC

Soubor KML  |  InteraktivnĂ­ mapa

Mapa zobrazuje dráhy meteoru. Světlejší čáry ukazují směry od pozorovacích stanic při objevení se meteoru a tmavší čáry, kde byl naposledy viděn. Modrá šipka značí viditelnou dráhu meteoru.

static map
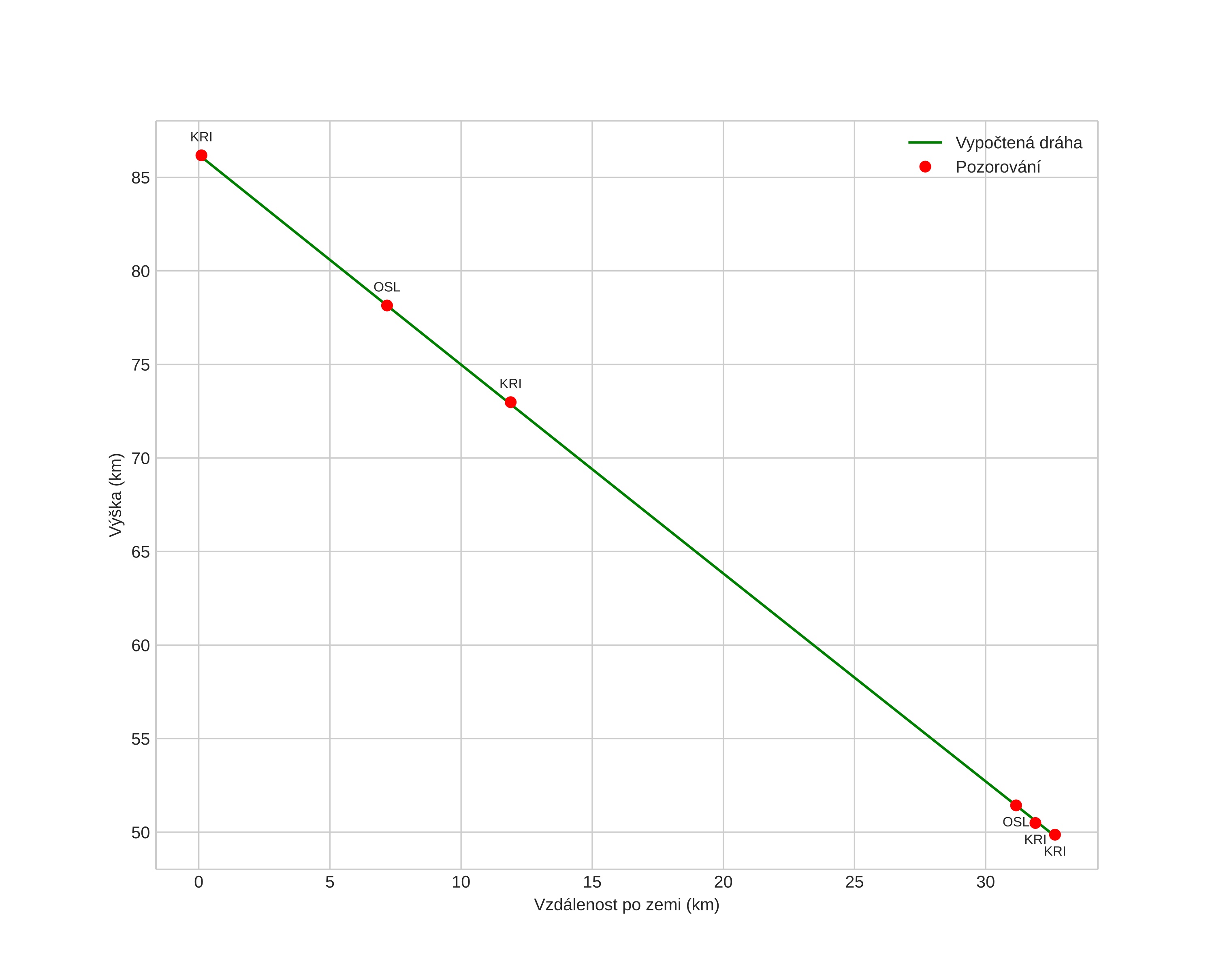
height profile
Atmosférická dráha meteoru:
Počáteční výška: 86,2 km
Konečná výška: 49,8 km
Počáteční poloha: 57,938N 8,344E
Konečná poloha: 58,229N 8,276E
Směr: 353,0°
Sklon: 48,1°
VstupnĂ­ rychlost: 19,2 km/s
Rektascenze radiantu: 23:31 (352,8°)
Deklinace radiantu: 11,7°
MeteorickĂ˝ roj: sporadickĂ˝
Elementy dráhy meteoroidu:
Vzdálenost v periheliu: 0,748 AU
Excentricita: 0,602
Sklon dráhy: 6,5°
Délka vzestupného uzlu: 187,9°
Argument perihelia: 250,9°
Střední anomálie: 342,7°
Epocha: 2016 SEP 30 22:01:17
orbit plot

NeinteraktivnĂ­ graf | InteraktivnĂ­ graf

position vs time
speed and acceleration