🇳🇴 🇬🇧 🇩🇪 🇨🇿 🇫🇮

Meteor, poloha: Kinsarvik 2016-10-01 00:33:51 UTC

Soubor KML  |  InteraktivnĂ­ mapa

Mapa zobrazuje dráhy meteoru. Světlejší čáry ukazují směry od pozorovacích stanic při objevení se meteoru a tmavší čáry, kde byl naposledy viděn. Modrá šipka značí viditelnou dráhu meteoru.

static map
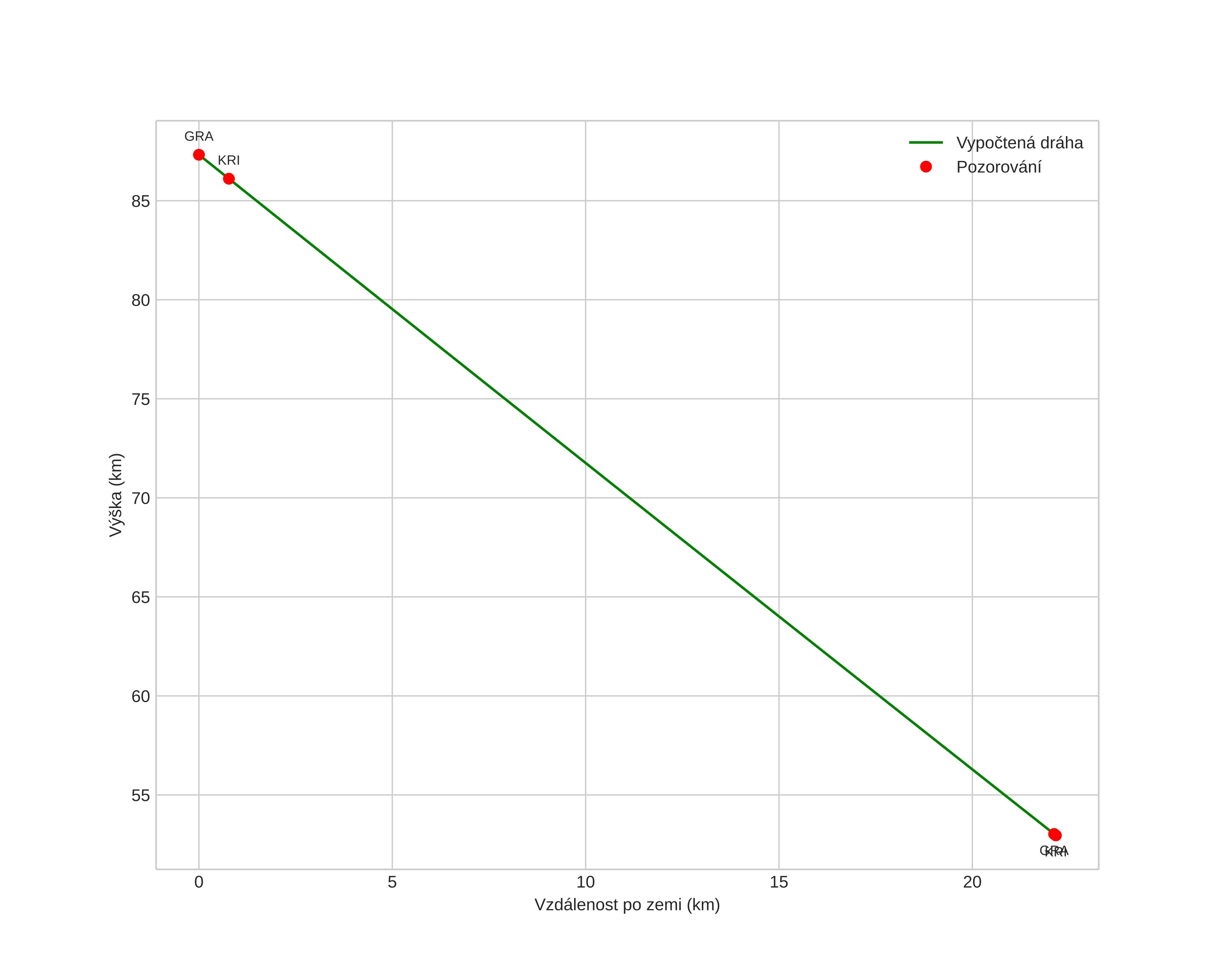
height profile
Atmosférická dráha meteoru:
Počáteční výška: 87,3 km
Konečná výška: 53,0 km
Počáteční poloha: 60,575N 6,813E
Konečná poloha: 60,379N 6,739E
Směr: 190,6°
Sklon: 57,1°
VstupnĂ­ rychlost: 41,7 km/s
Rektascenze radiantu: 09:48 (147,1°)
Deklinace radiantu: 83,6°
MeteorickĂ˝ roj: sporadickĂ˝
Elementy dráhy meteoroidu:
Vzdálenost v periheliu: 1,001 AU
Excentricita: 0,580
Sklon dráhy: 72,5°
Délka vzestupného uzlu: 188,0°
Argument perihelia: 177,0°
Střední anomálie: 0,6°
Epocha: 2016 OCT 01 00:33:51
orbit plot

NeinteraktivnĂ­ graf | InteraktivnĂ­ graf

position vs time
speed and acceleration