🇳🇴 🇬🇧 🇩🇪 🇨🇿 🇫🇮

Meteor, poloha: Lillesand 2016-10-02 01:19:24 UTC

Soubor KML  |  InteraktivnĂ­ mapa

Mapa zobrazuje dráhy meteoru. Světlejší čáry ukazují směry od pozorovacích stanic při objevení se meteoru a tmavší čáry, kde byl naposledy viděn. Modrá šipka značí viditelnou dráhu meteoru.

static map
height profile
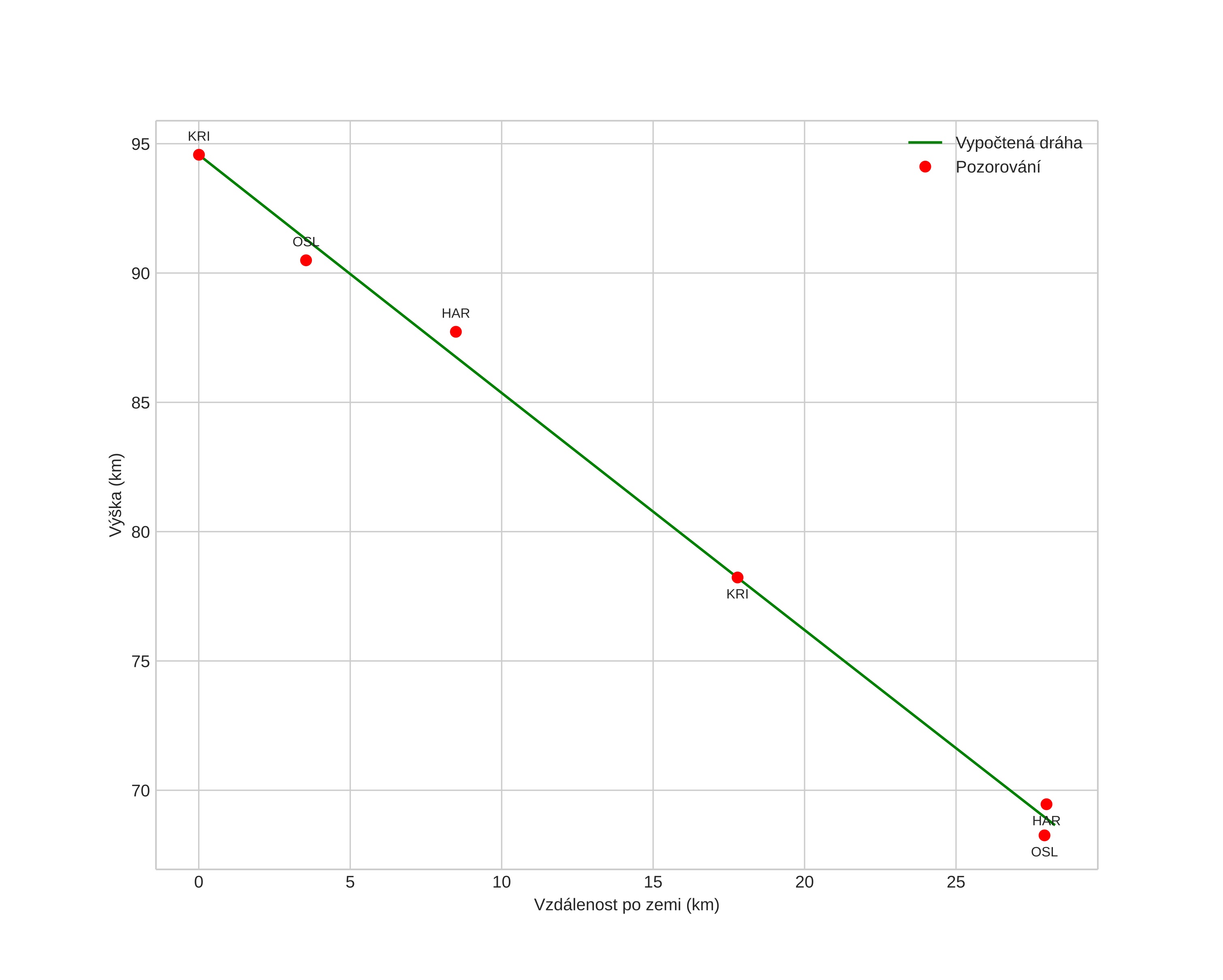
Atmosférická dráha meteoru:
Počáteční výška: 94,6 km
Konečná výška: 68,6 km
Počáteční poloha: 58,198N 7,892E
Konečná poloha: 58,281N 8,348E
Směr: 70,7°
Sklon: 42,6°
VstupnĂ­ rychlost: 22,6 km/s
Rektascenze radiantu: 23:01 (345,3°)
Deklinace radiantu: 23,3°
MeteorickĂ˝ roj: sporadickĂ˝
Elementy dráhy meteoroidu:
Vzdálenost v periheliu: 0,766 AU
Excentricita: 0,790
Sklon dráhy: 15,1°
Délka vzestupného uzlu: 189,1°
Argument perihelia: 242,0°
Střední anomálie: 354,6°
Epocha: 2016 OCT 02 01:19:24
orbit plot

NeinteraktivnĂ­ graf | InteraktivnĂ­ graf

position vs time
speed and acceleration