🇳🇴 🇬🇧 🇩🇪 🇨🇿 🇫🇮

Meteor, poloha: Geilo 2016-10-02 02:47:04 UTC

Soubor KML  |  InteraktivnĂ­ mapa

Mapa zobrazuje dráhy meteoru. Světlejší čáry ukazují směry od pozorovacích stanic při objevení se meteoru a tmavší čáry, kde byl naposledy viděn. Modrá šipka značí viditelnou dráhu meteoru.

static map
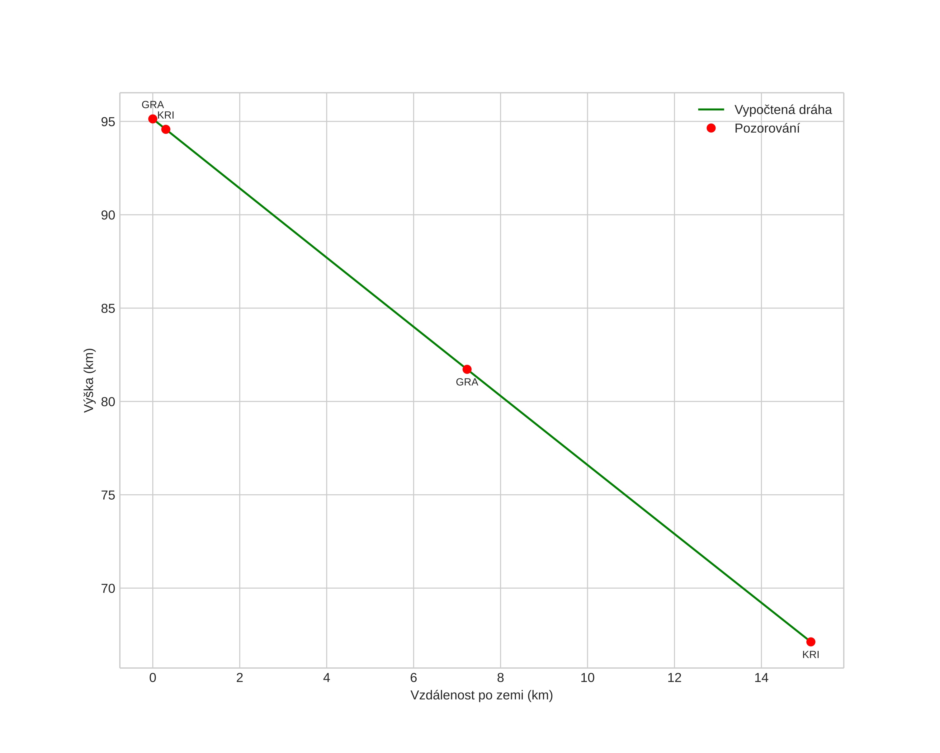
height profile
Atmosférická dráha meteoru:
Počáteční výška: 95,1 km
Konečná výška: 67,1 km
Počáteční poloha: 60,168N 7,753E
Konečná poloha: 60,085N 7,969E
Směr: 127,7°
Sklon: 61,6°
VstupnĂ­ rychlost: 38,7 km/s
Rektascenze radiantu: 23:41 (355,3°)
Deklinace radiantu: 64,5°
MeteorickĂ˝ roj: sporadickĂ˝
Elementy dráhy meteoroidu:
Vzdálenost v periheliu: 0,804 AU
Excentricita: 0,955
Sklon dráhy: 57,0°
Délka vzestupného uzlu: 189,1°
Argument perihelia: 233,3°
Střední anomálie: 359,6°
Epocha: 2016 OCT 02 02:47:04
orbit plot

NeinteraktivnĂ­ graf | InteraktivnĂ­ graf

position vs time
speed and acceleration