🇳🇴 🇬🇧 🇩🇪 🇨🇿 🇫🇮

Meteor, poloha: Torsby 2016-10-04 21:30:42 UTC

Soubor KML  |  InteraktivnĂ­ mapa

Mapa zobrazuje dráhy meteoru. Světlejší čáry ukazují směry od pozorovacích stanic při objevení se meteoru a tmavší čáry, kde byl naposledy viděn. Modrá šipka značí viditelnou dráhu meteoru.

static map
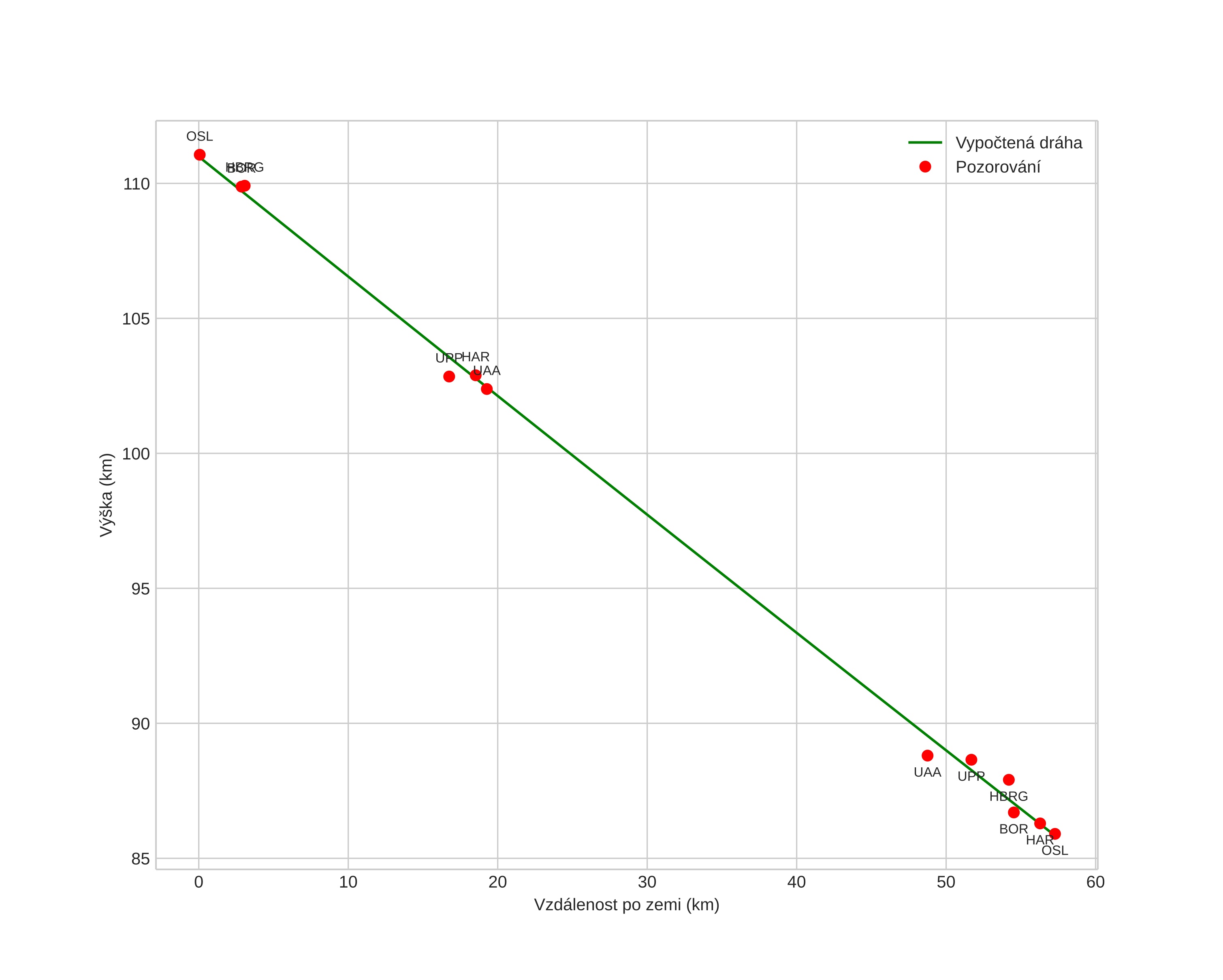
height profile
Atmosférická dráha meteoru:
Počáteční výška: 111,0 km
Konečná výška: 85,8 km
Počáteční poloha: 60,883N 13,296E
Konečná poloha: 60,495N 12,604E
Směr: 221,5°
Sklon: 23,8°
VstupnĂ­ rychlost: 73,0 km/s
Rektascenze radiantu: 07:34 (113,6°)
Deklinace radiantu: 43,0°
MeteorickĂ˝ roj: sporadickĂ˝
Elementy dráhy meteoroidu:
Vzdálenost v periheliu: 0,980 AU
Excentricita: 1,346
Sklon dráhy: 145,0°
Délka vzestupného uzlu: 191,9°
Argument perihelia: 164,6°
Střední anomálie: 2,1°
Epocha: 2016 OCT 04 21:30:42
orbit plot

NeinteraktivnĂ­ graf | InteraktivnĂ­ graf

position vs time
speed and acceleration