🇳🇴 🇬🇧 🇩🇪 🇨🇿 🇫🇮

Meteor, poloha: Thisted 2016-10-05 23:31:02 UTC

Soubor KML  |  InteraktivnĂ­ mapa

Mapa zobrazuje dráhy meteoru. Světlejší čáry ukazují směry od pozorovacích stanic při objevení se meteoru a tmavší čáry, kde byl naposledy viděn. Modrá šipka značí viditelnou dráhu meteoru.

static map
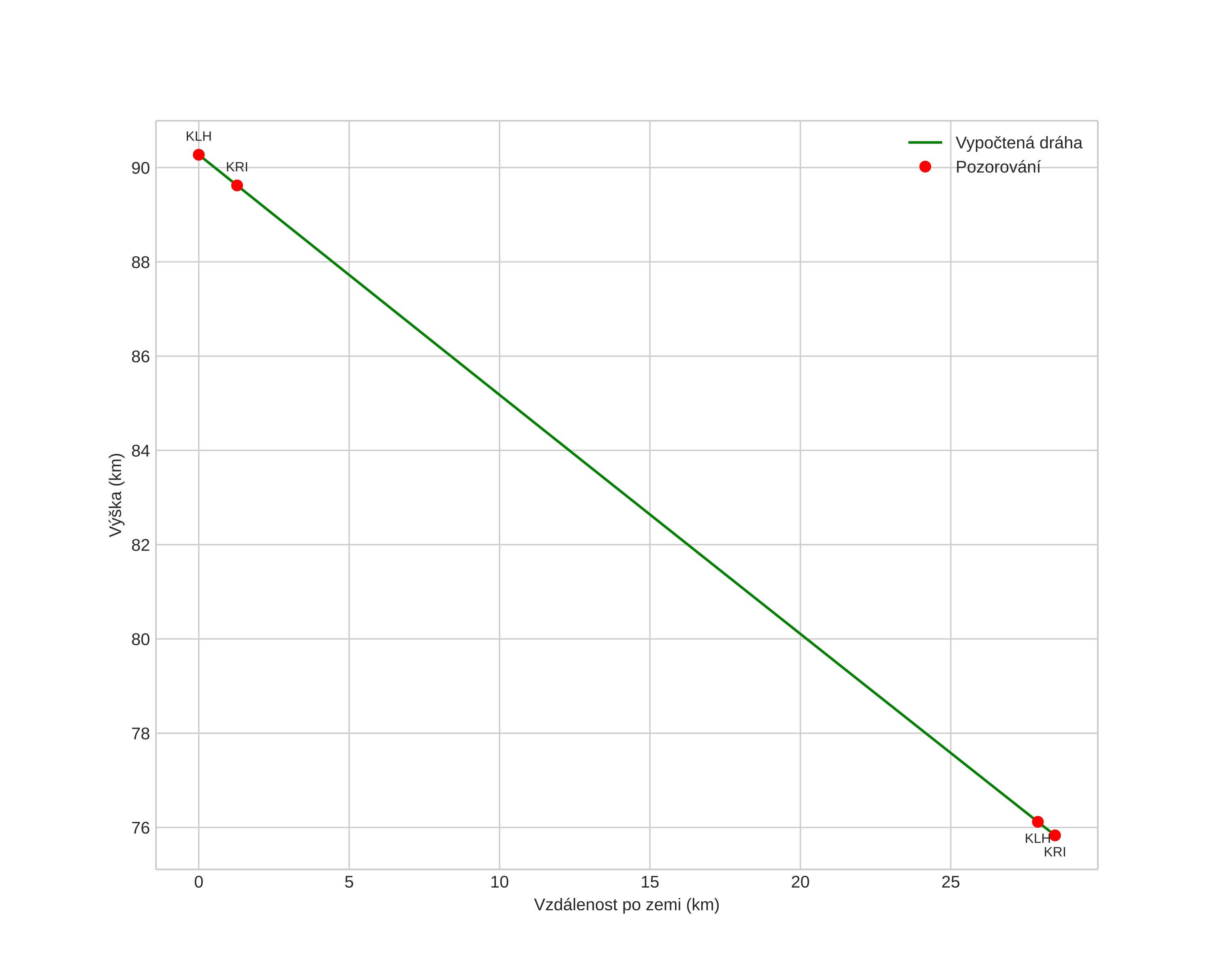
height profile
Atmosférická dráha meteoru:
Počáteční výška: 90,3 km
Konečná výška: 75,8 km
Počáteční poloha: 56,696N 8,544E
Konečná poloha: 56,945N 8,654E
Směr: 13,5°
Sklon: 27,0°
VstupnĂ­ rychlost: 21,8 km/s
Rektascenze radiantu: 00:10 (2,7°)
Deklinace radiantu: -10,8°
MeteorickĂ˝ roj: sporadickĂ˝
Elementy dráhy meteoroidu:
Vzdálenost v periheliu: 0,753 AU
Excentricita: 0,801
Sklon dráhy: 5,9°
Délka vzestupného uzlu: 12,9°
Argument perihelia: 63,5°
Střední anomálie: 354,9°
Epocha: 2016 OCT 05 23:31:02
orbit plot

NeinteraktivnĂ­ graf | InteraktivnĂ­ graf

position vs time
speed and acceleration