🇳🇴 🇬🇧 🇩🇪 🇨🇿 🇫🇮

Meteor, poloha: Sætre 2016-10-07 21:29:27 UTC

Soubor KML  |  InteraktivnĂ­ mapa

Mapa zobrazuje dráhy meteoru. Světlejší čáry ukazují směry od pozorovacích stanic při objevení se meteoru a tmavší čáry, kde byl naposledy viděn. Modrá šipka značí viditelnou dráhu meteoru.

static map
height profile
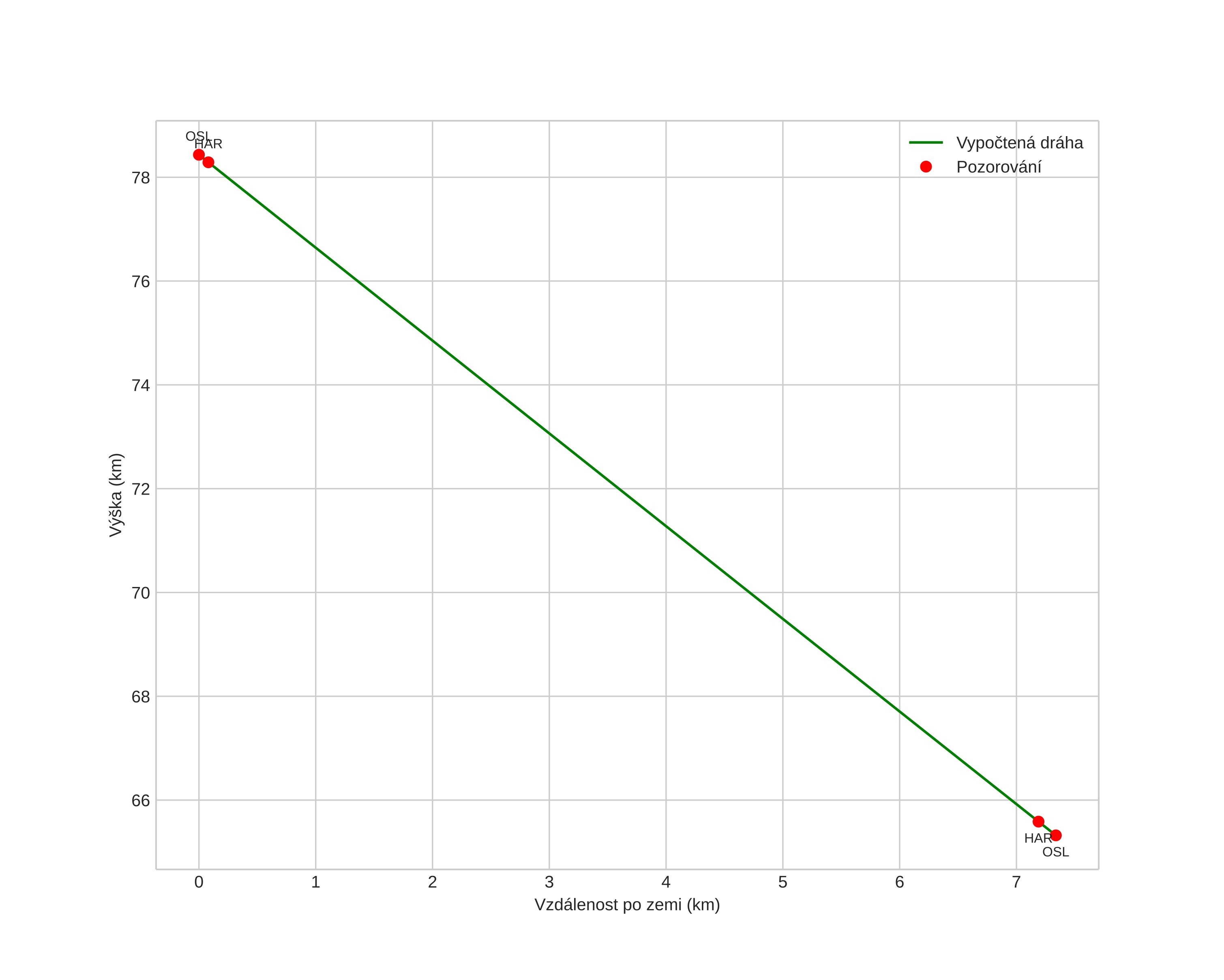
Atmosférická dráha meteoru:
Počáteční výška: 78,4 km
Konečná výška: 65,3 km
Počáteční poloha: 59,646N 10,603E
Konečná poloha: 59,651N 10,473E
Směr: 274,8°
Sklon: 60,8°
VstupnĂ­ rychlost: 19,9 km/s
Rektascenze radiantu: 02:29 (37,3°)
Deklinace radiantu: 45,3°
MeteorickĂ˝ roj: sporadickĂ˝
Elementy dráhy meteoroidu:
Vzdálenost v periheliu: 0,389 AU
Excentricita: 0,516
Sklon dráhy: 20,2°
Délka vzestupného uzlu: 194,8°
Argument perihelia: 322,5°
Střední anomálie: 268,0°
Epocha: 2016 OCT 07 21:29:27
orbit plot

NeinteraktivnĂ­ graf | InteraktivnĂ­ graf

position vs time
speed and acceleration