🇳🇴 🇬🇧 🇩🇪 🇨🇿 🇫🇮

Meteor, poloha: Kirkenær 2016-10-28 03:05:28 UTC

Soubor KML  |  InteraktivnĂ­ mapa

Mapa zobrazuje dráhy meteoru. Světlejší čáry ukazují směry od pozorovacích stanic při objevení se meteoru a tmavší čáry, kde byl naposledy viděn. Modrá šipka značí viditelnou dráhu meteoru.

static map
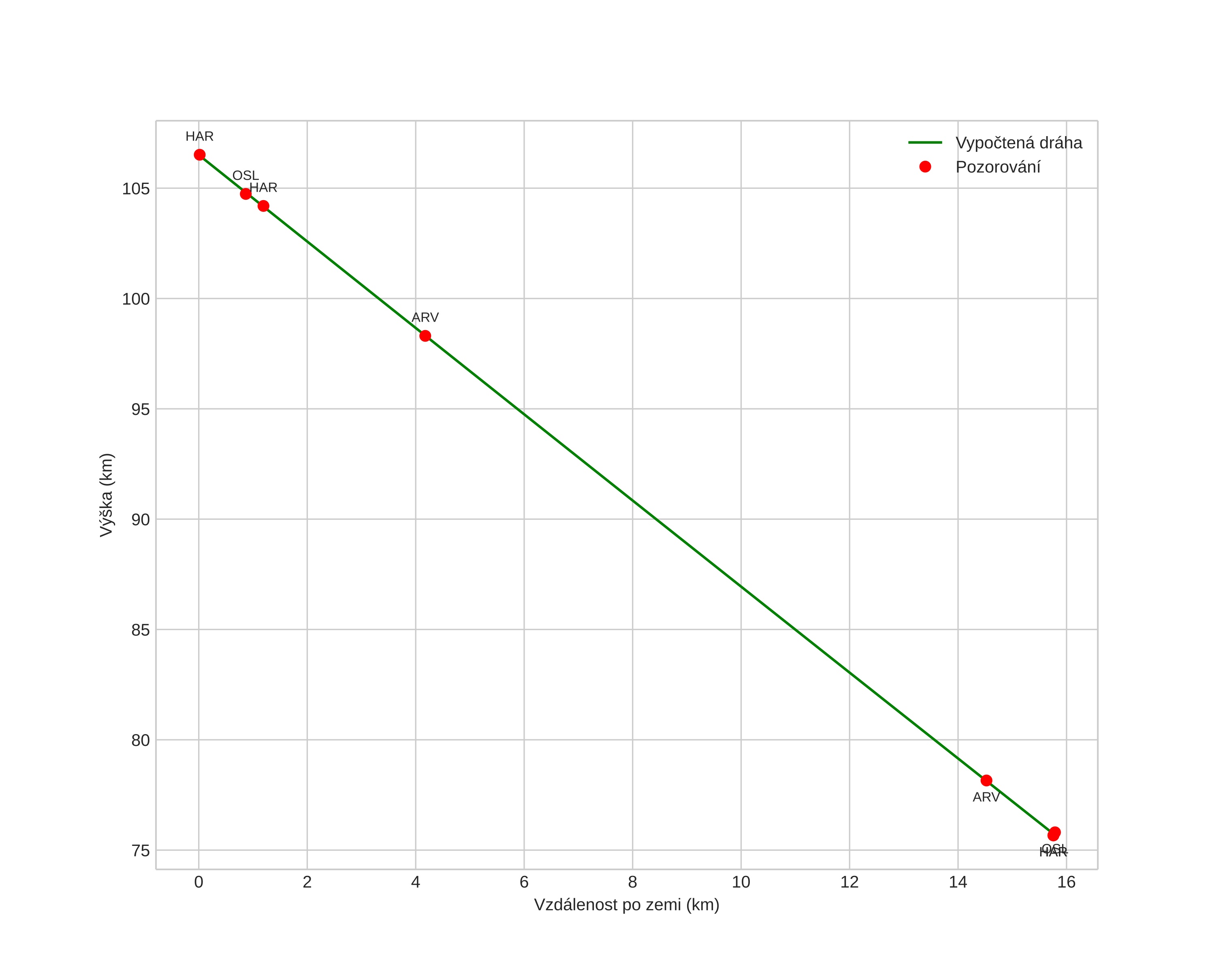
height profile
Atmosférická dráha meteoru:
Počáteční výška: 106,5 km
Konečná výška: 75,7 km
Počáteční poloha: 60,598N 12,015E
Konečná poloha: 60,457N 12,052E
Směr: 172,6°
Sklon: 62,9°
VstupnĂ­ rychlost: 41,8 km/s
Rektascenze radiantu: 02:13 (33,3°)
Deklinace radiantu: 85,6°
MeteorickĂ˝ roj: sporadickĂ˝
Elementy dráhy meteoroidu:
Vzdálenost v periheliu: 0,903 AU
Excentricita: 0,974
Sklon dráhy: 64,8°
Délka vzestupného uzlu: 214,9°
Argument perihelia: 215,4°
Střední anomálie: 359,9°
Epocha: 2016 OCT 28 03:05:28
orbit plot

NeinteraktivnĂ­ graf | InteraktivnĂ­ graf

position vs time
speed and acceleration