🇳🇴 🇬🇧 🇩🇪 🇨🇿 🇫🇮

Meteor Dokkan yllä 2016-10-29 02:13:50 UTC

KML-tiedosto  |  Interaktiivinen kartta

Kartta näyttää meteorin suuntahavainnot. Vaaleammat viivat näyttävät suunnat havaintoasemilta meteorin ilmestyessä, ja tummemmat viivat näyttävät, missä se viimeksi nähtiin. Sininen nuoli näyttää meteorin näkyvän lennon.

static map
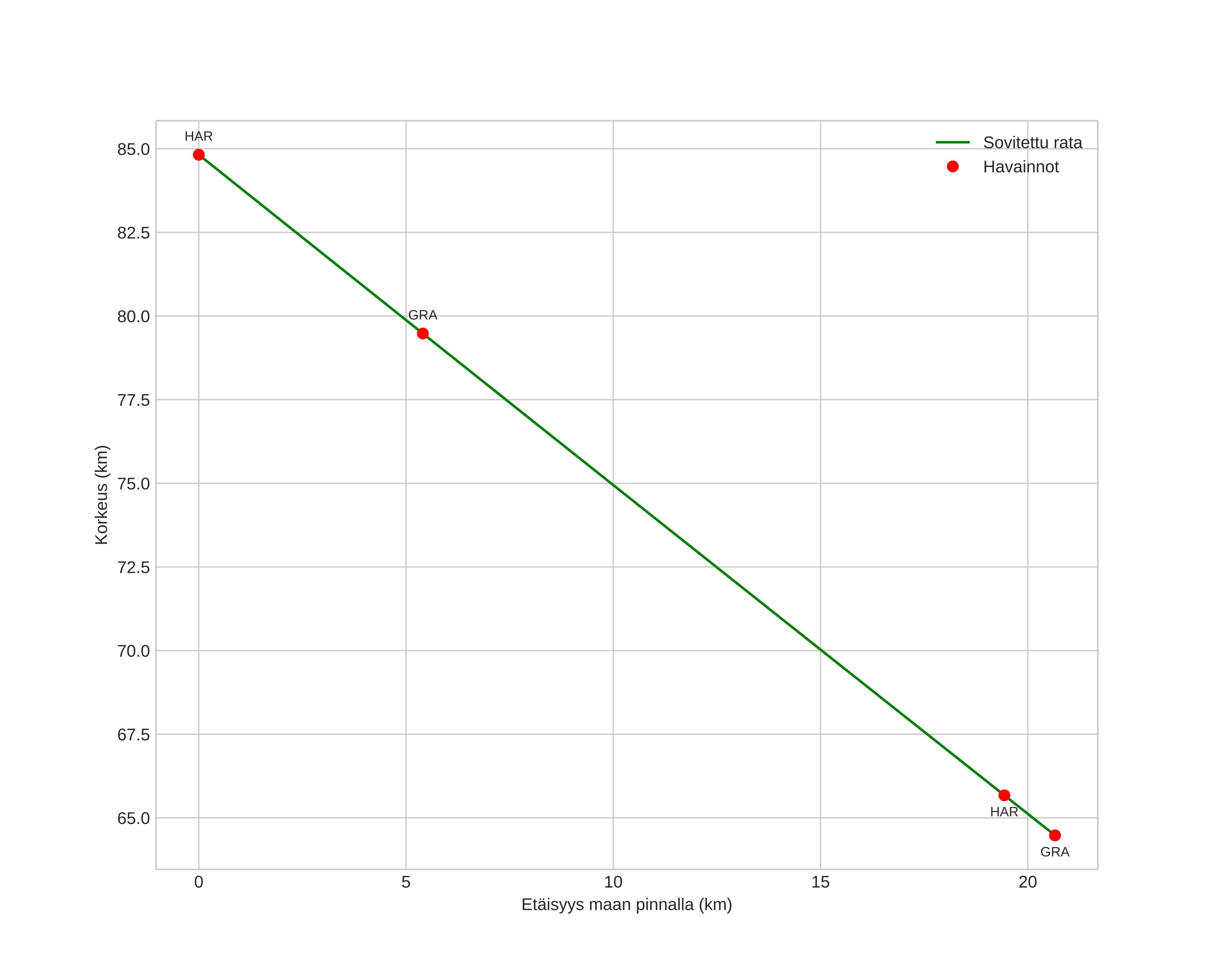
height profile
Meteorin ilmakehärata:
Alkukorkeus: 84,8 km
Loppukorkeus: 64,5 km
Alkupiste: 60,753N 9,770E
Loppupiste: 60,878N 10,051E
Suunta: 47,6°
Kallistuskulma: 44,5°
Tulonopeus: 28,9 km/s
Radiantin R,A,: 03:00 (45,0°)
Radiantin Dekl,: 20,1°
Meteoriparvi: Pohjoiset tauridit
Meteoroidin rataelementit:
Perihelietäisyys: 0,363 AU
Eksentrisyys: 0,800
Inklinaatio: 3,3°
Nousevan solmun pituus: 215,8°
Perihelin argumentti: 295,4°
Keskianomalia: 342,3°
Epookki: 2016 OCT 29 02:13:50
orbit plot

Ei-interaktiivinen kuvaaja | Interaktiivinen kuvaaja

position vs time
speed and acceleration