🇳🇴 🇬🇧 🇩🇪 🇨🇿 🇫🇮

Meteor, poloha: Fedje 2016-10-29 20:35:42 UTC

Soubor KML  |  InteraktivnĂ­ mapa

Mapa zobrazuje dráhy meteoru. Světlejší čáry ukazují směry od pozorovacích stanic při objevení se meteoru a tmavší čáry, kde byl naposledy viděn. Modrá šipka značí viditelnou dráhu meteoru.

static map
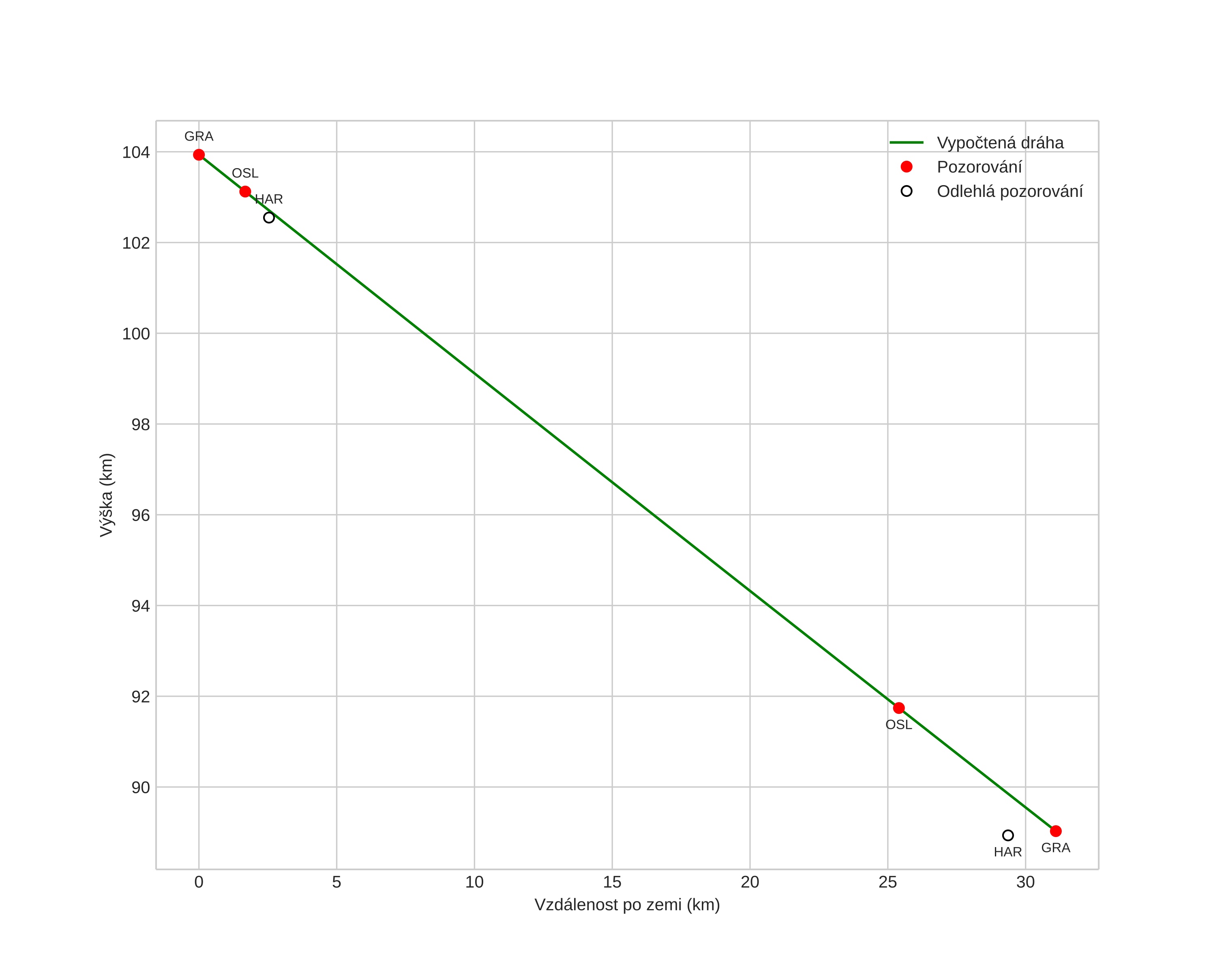
height profile
Atmosférická dráha meteoru:
Počáteční výška: 103,9 km
Konečná výška: 89,0 km
Počáteční poloha: 61,181N 3,684E
Konečná poloha: 61,304N 3,162E
Směr: 296,4°
Sklon: 25,6°
VstupnĂ­ rychlost: 45,8 km/s
Rektascenze radiantu: 03:05 (46,4°)
Deklinace radiantu: 9,6°
MeteorickĂ˝ roj: sporadickĂ˝
Elementy dráhy meteoroidu:
Vzdálenost v periheliu: 0,268 AU
Excentricita: 1,197
Sklon dráhy: 14,6°
Délka vzestupného uzlu: 36,6°
Argument perihelia: 109,8°
Střední anomálie: -19,2°
Epocha: 2016 OCT 29 20:35:42
orbit plot

NeinteraktivnĂ­ graf | InteraktivnĂ­ graf

position vs time
speed and acceleration