🇳🇴 🇬🇧 🇩🇪 🇨🇿 🇫🇮

Meteor, poloha: Birkeland 2016-11-07 18:27:24 UTC

Soubor KML  |  InteraktivnĂ­ mapa

Mapa zobrazuje dráhy meteoru. Světlejší čáry ukazují směry od pozorovacích stanic při objevení se meteoru a tmavší čáry, kde byl naposledy viděn. Modrá šipka značí viditelnou dráhu meteoru.

static map
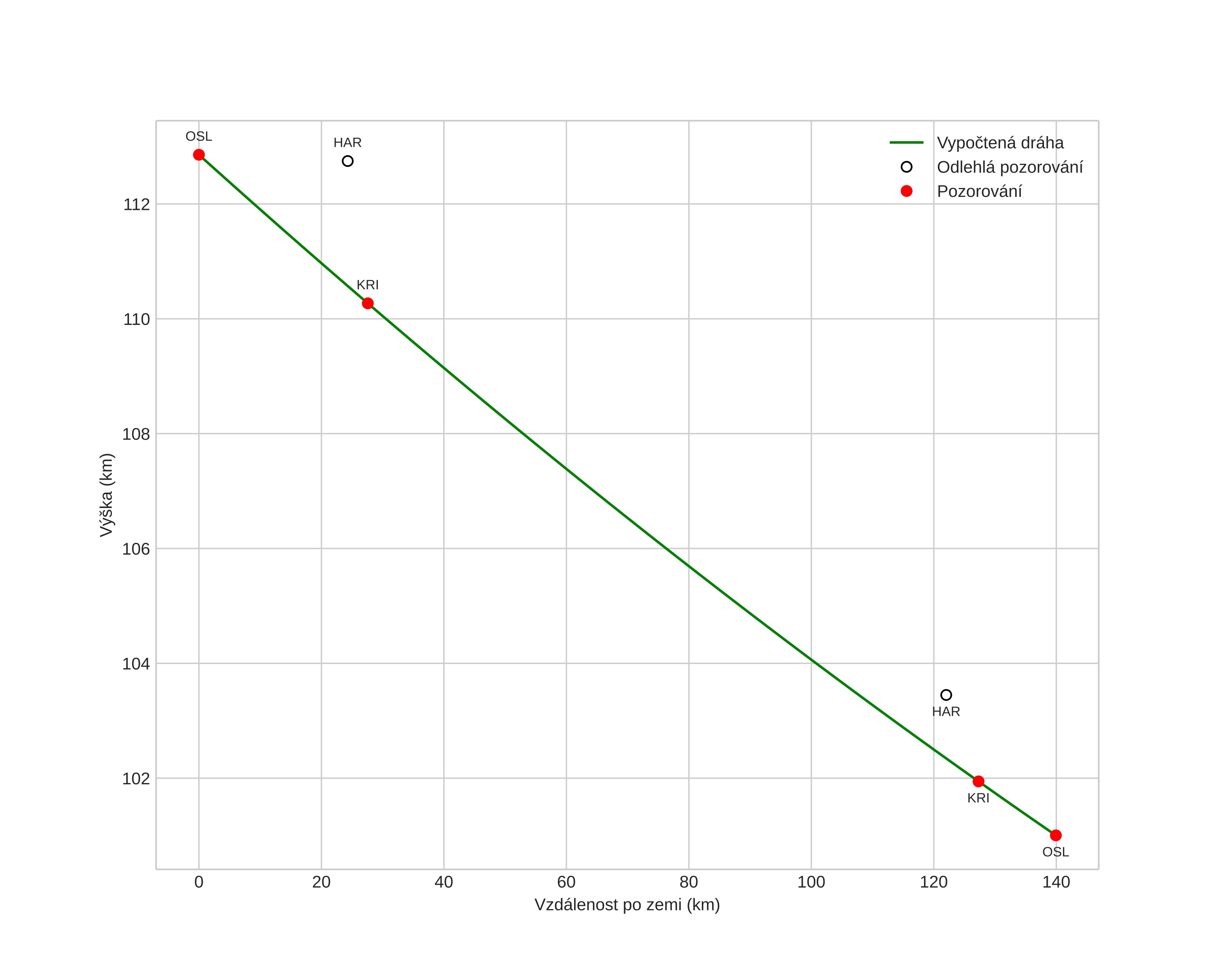
height profile
Atmosférická dráha meteoru:
Počáteční výška: 112,9 km
Konečná výška: 101,0 km
Počáteční poloha: 59,735N 9,097E
Konečná poloha: 58,574N 8,151E
Směr: 203,1°
Sklon: 4,9°
VstupnĂ­ rychlost: 70,7 km/s
Rektascenze radiantu: 08:23 (125,9°)
Deklinace radiantu: 31,8°
MeteorickĂ˝ roj: sporadickĂ˝
Elementy dráhy meteoroidu:
Vzdálenost v periheliu: 0,817 AU
Excentricita: 1,032
Sklon dráhy: 157,8°
Délka vzestupného uzlu: 225,6°
Argument perihelia: 229,1°
Střední anomálie: -0,2°
Epocha: 2016 NOV 07 18:27:24
orbit plot

NeinteraktivnĂ­ graf | InteraktivnĂ­ graf

position vs time
speed and acceleration