🇳🇴 🇬🇧 🇩🇪 🇨🇿 🇫🇮

Meteor, poloha: Revetal 2016-11-15 19:00:01 UTC

Soubor KML  |  InteraktivnĂ­ mapa

Mapa zobrazuje dráhy meteoru. Světlejší čáry ukazují směry od pozorovacích stanic při objevení se meteoru a tmavší čáry, kde byl naposledy viděn. Modrá šipka značí viditelnou dráhu meteoru.

static map
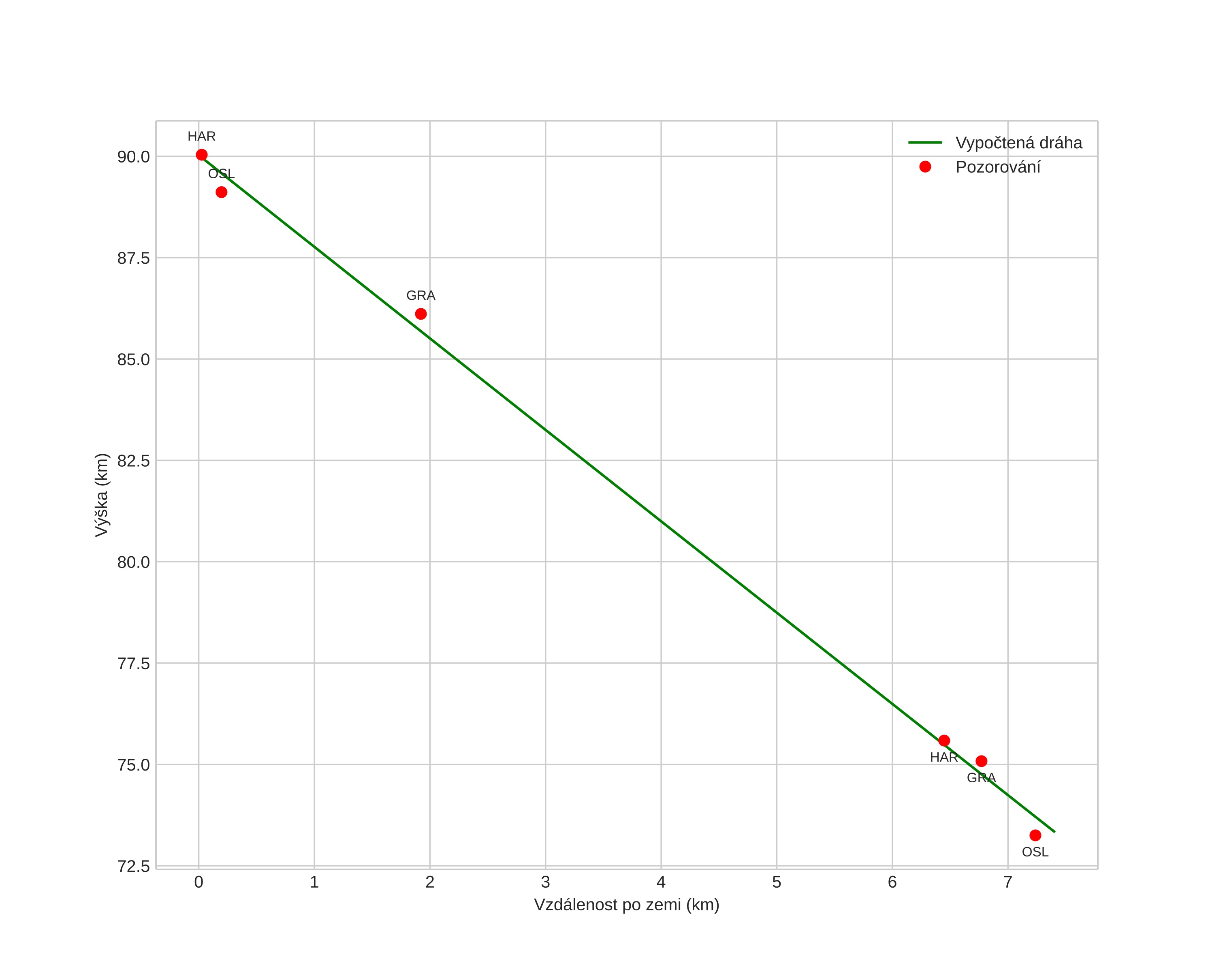
height profile
Atmosférická dráha meteoru:
Počáteční výška: 90,0 km
Konečná výška: 73,3 km
Počáteční poloha: 59,292N 10,027E
Konečná poloha: 59,294N 10,157E
Směr: 88,3°
Sklon: 66,1°
VstupnĂ­ rychlost: 23,4 km/s
Rektascenze radiantu: 20:28 (307,2°)
Deklinace radiantu: 49,8°
MeteorickĂ˝ roj: sporadickĂ˝
Elementy dráhy meteoroidu:
Vzdálenost v periheliu: 0,986 AU
Excentricita: 1,064
Sklon dráhy: 25,9°
Délka vzestupného uzlu: 233,6°
Argument perihelia: 186,2°
Střední anomálie: -0,1°
Epocha: 2016 NOV 15 19:00:01
orbit plot

NeinteraktivnĂ­ graf | InteraktivnĂ­ graf

position vs time
speed and acceleration