🇳🇴 🇬🇧 🇩🇪 🇨🇿 🇫🇮

Meteor, poloha: Fedje 2016-11-18 16:56:18 UTC

Soubor KML  |  InteraktivnĂ­ mapa

Mapa zobrazuje dráhy meteoru. Světlejší čáry ukazují směry od pozorovacích stanic při objevení se meteoru a tmavší čáry, kde byl naposledy viděn. Modrá šipka značí viditelnou dráhu meteoru.

static map
height profile
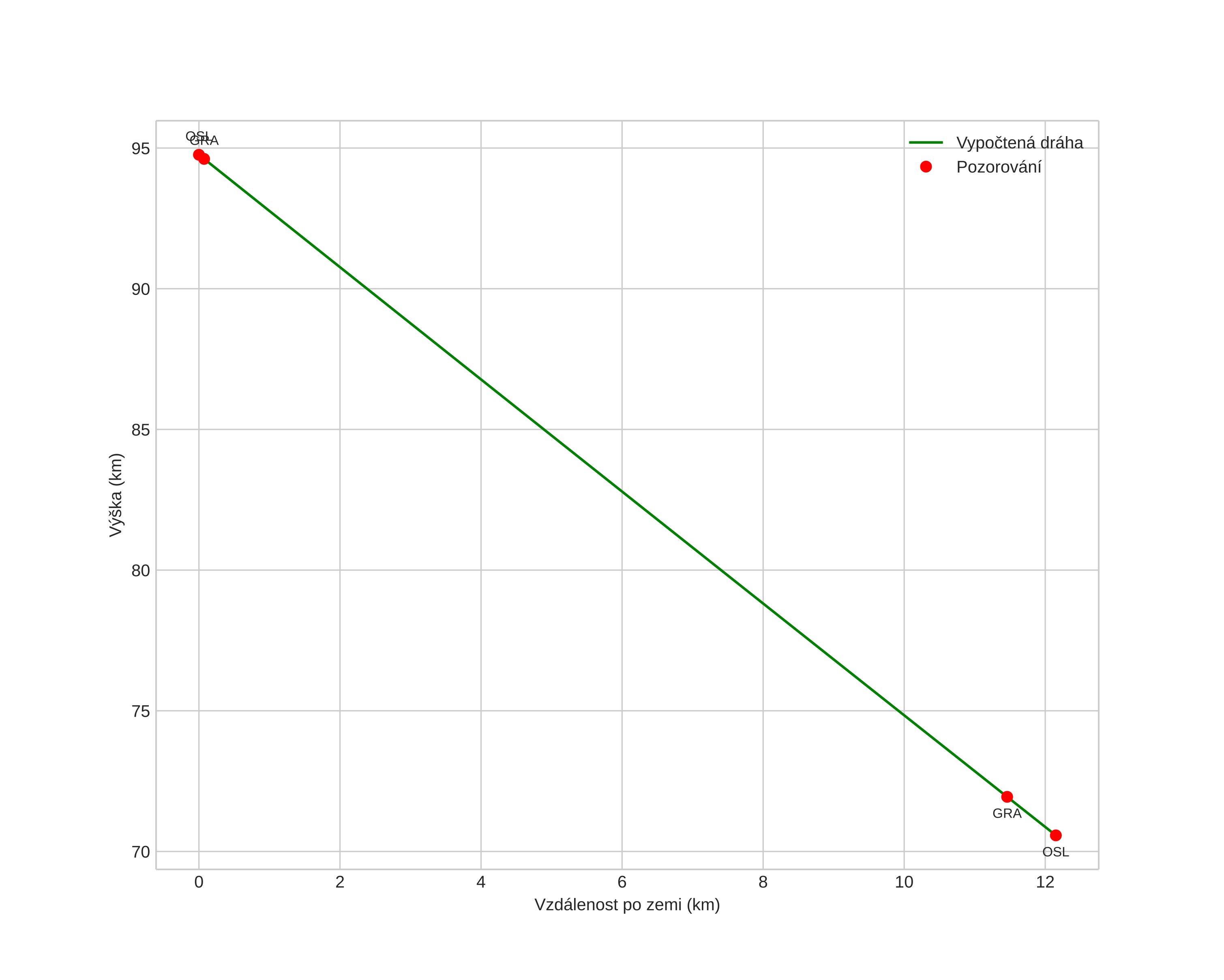
Atmosférická dráha meteoru:
Počáteční výška: 94,8 km
Konečná výška: 70,6 km
Počáteční poloha: 60,390N 2,314E
Konečná poloha: 60,367N 2,531E
Směr: 101,8°
Sklon: 63,3°
VstupnĂ­ rychlost: 23,1 km/s
Rektascenze radiantu: 17:23 (260,8°)
Deklinace radiantu: 53,9°
MeteorickĂ˝ roj: sporadickĂ˝
Elementy dráhy meteoroidu:
Vzdálenost v periheliu: 0,969 AU
Excentricita: 0,531
Sklon dráhy: 32,6°
Délka vzestupného uzlu: 236,6°
Argument perihelia: 160,6°
Střední anomálie: 5,1°
Epocha: 2016 NOV 18 16:56:18
orbit plot

NeinteraktivnĂ­ graf | InteraktivnĂ­ graf

position vs time
speed and acceleration