🇳🇴 🇬🇧 🇩🇪 🇨🇿 🇫🇮

Meteor Arvikan yllä 2016-11-19 03:13:26 UTC

KML-tiedosto  |  Interaktiivinen kartta

Kartta näyttää meteorin suuntahavainnot. Vaaleammat viivat näyttävät suunnat havaintoasemilta meteorin ilmestyessä, ja tummemmat viivat näyttävät, missä se viimeksi nähtiin. Sininen nuoli näyttää meteorin näkyvän lennon.

static map
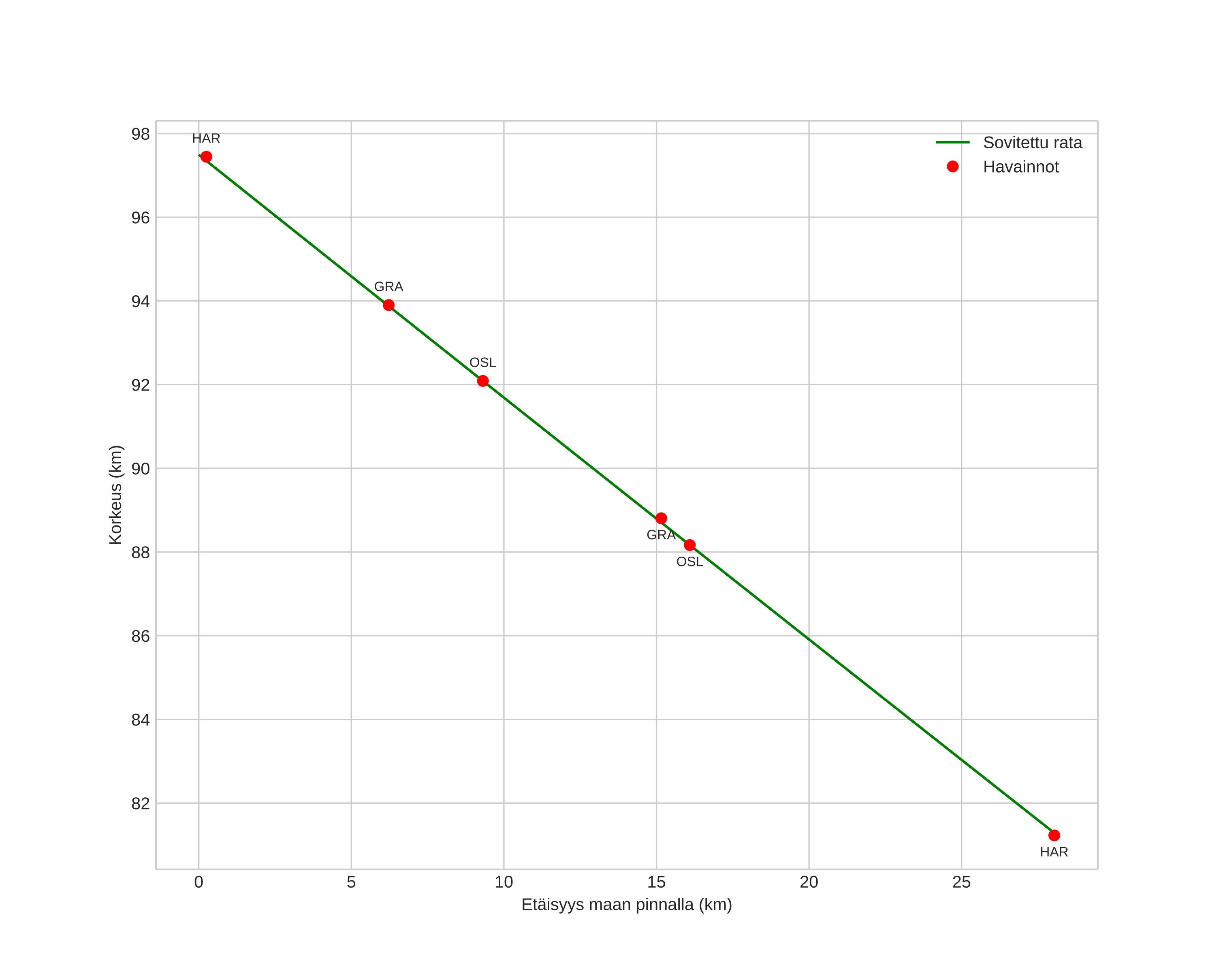
height profile
Meteorin ilmakehärata:
Alkukorkeus: 97,5 km
Loppukorkeus: 81,3 km
Alkupiste: 59,898N 12,221E
Loppupiste: 59,873N 12,721E
Suunta: 95,5°
Kallistuskulma: 30,0°
Tulonopeus: 21,0 km/s
Radiantin R,A,: 02:28 (37,2°)
Radiantin Dekl,: 23,5°
Meteoriparvi: Sporadinen
Meteoroidin rataelementit:
Perihelietäisyys: 0,752 AU
Eksentrisyys: 0,765
Inklinaatio: 4,3°
Nousevan solmun pituus: 237,0°
Perihelin argumentti: 243,4°
Keskianomalia: 353,4°
Epookki: 2016 NOV 19 03:13:26
orbit plot

Ei-interaktiivinen kuvaaja | Interaktiivinen kuvaaja

position vs time
speed and acceleration