🇳🇴 🇬🇧 🇩🇪 🇨🇿 🇫🇮

Meteor, poloha: Stryn 2016-11-27 02:03:22 UTC

Soubor KML  |  InteraktivnĂ­ mapa

Mapa zobrazuje dráhy meteoru. Světlejší čáry ukazují směry od pozorovacích stanic při objevení se meteoru a tmavší čáry, kde byl naposledy viděn. Modrá šipka značí viditelnou dráhu meteoru.

static map
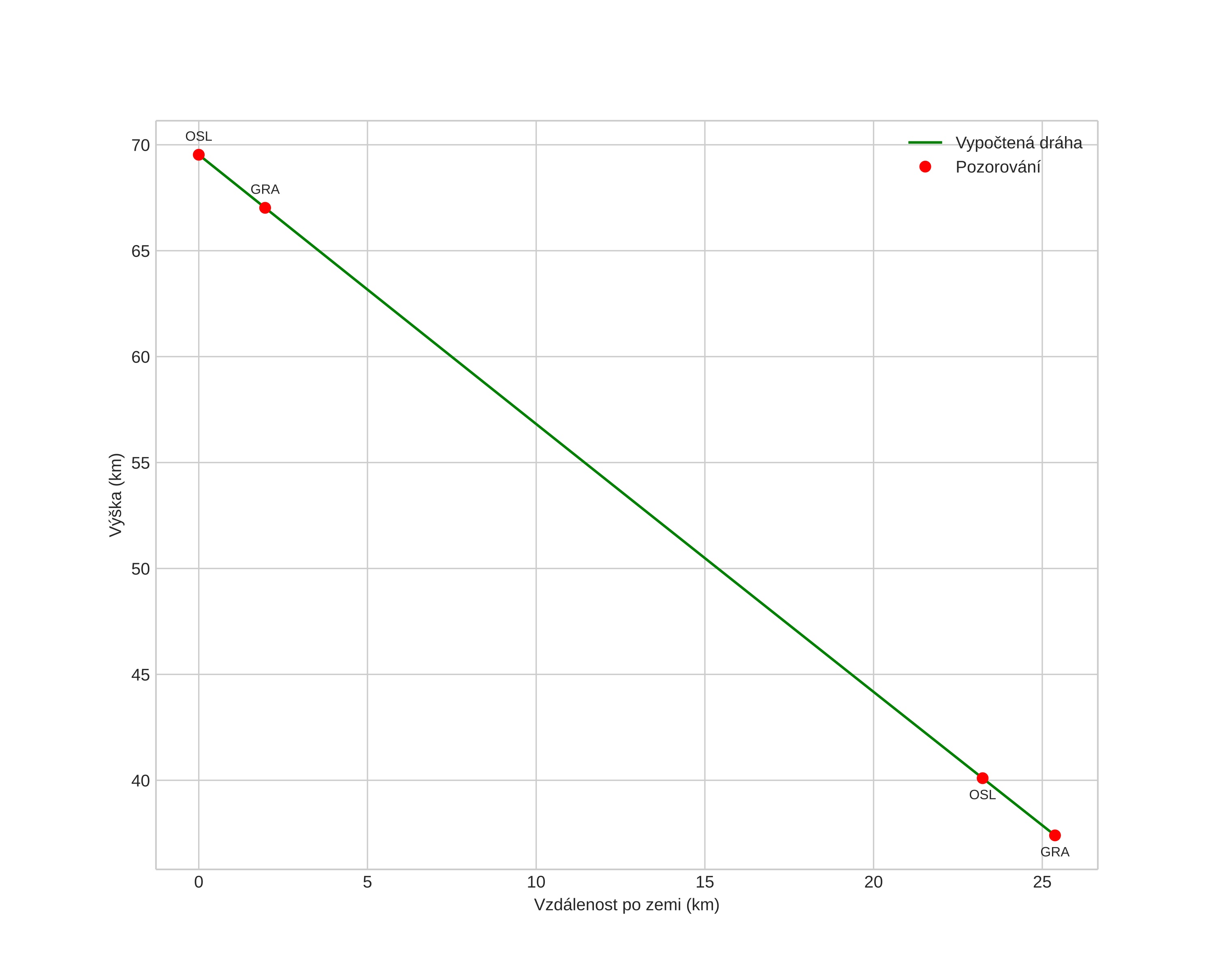
height profile
Atmosférická dráha meteoru:
Počáteční výška: 69,5 km
Konečná výška: 37,4 km
Počáteční poloha: 61,998N 6,256E
Konečná poloha: 62,029N 6,738E
Směr: 82,0°
Sklon: 51,7°
VstupnĂ­ rychlost: 25,1 km/s
Rektascenze radiantu: 03:08 (47,1°)
Deklinace radiantu: 38,5°
MeteorickĂ˝ roj: sporadickĂ˝
Elementy dráhy meteoroidu:
Vzdálenost v periheliu: 0,698 AU
Excentricita: 0,882
Sklon dráhy: 13,0°
Délka vzestupného uzlu: 245,0°
Argument perihelia: 247,9°
Střední anomálie: 357,4°
Epocha: 2016 NOV 27 02:03:22
orbit plot

NeinteraktivnĂ­ graf | InteraktivnĂ­ graf

position vs time
speed and acceleration