🇳🇴 🇬🇧 🇩🇪 🇨🇿 🇫🇮

Meteor, poloha: Hardbakke 2016-11-27 03:22:07 UTC

Soubor KML  |  InteraktivnĂ­ mapa

Mapa zobrazuje dráhy meteoru. Světlejší čáry ukazují směry od pozorovacích stanic při objevení se meteoru a tmavší čáry, kde byl naposledy viděn. Modrá šipka značí viditelnou dráhu meteoru.

static map
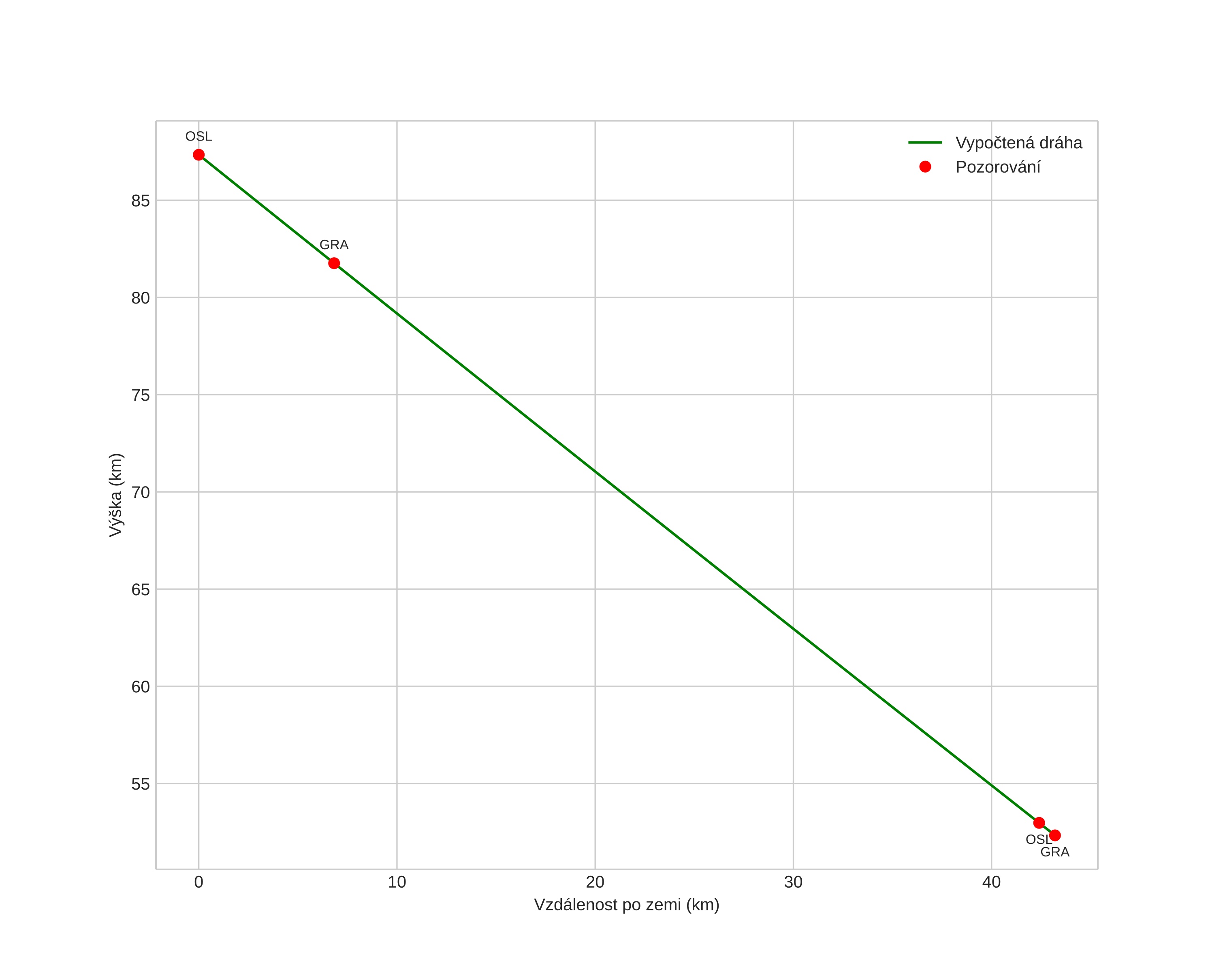
height profile
Atmosférická dráha meteoru:
Počáteční výška: 87,3 km
Konečná výška: 52,3 km
Počáteční poloha: 61,809N 2,516E
Konečná poloha: 61,927N 3,301E
Směr: 71,9°
Sklon: 39,0°
VstupnĂ­ rychlost: 25,3 km/s
Rektascenze radiantu: 04:08 (62,0°)
Deklinace radiantu: 23,3°
MeteorickĂ˝ roj: SevernĂ­ Tauridy
Elementy dráhy meteoroidu:
Vzdálenost v periheliu: 0,570 AU
Excentricita: 0,786
Sklon dráhy: 1,8°
Délka vzestupného uzlu: 245,0°
Argument perihelia: 267,8°
Střední anomálie: 350,2°
Epocha: 2016 NOV 27 03:22:07
orbit plot

NeinteraktivnĂ­ graf | InteraktivnĂ­ graf

position vs time
speed and acceleration