🇳🇴 🇬🇧 🇩🇪 🇨🇿 🇫🇮

Meteor, poloha: Tollarp 2016-11-28 17:25:29 UTC

Soubor KML  |  InteraktivnĂ­ mapa

Mapa zobrazuje dráhy meteoru. Světlejší čáry ukazují směry od pozorovacích stanic při objevení se meteoru a tmavší čáry, kde byl naposledy viděn. Modrá šipka značí viditelnou dráhu meteoru.

static map
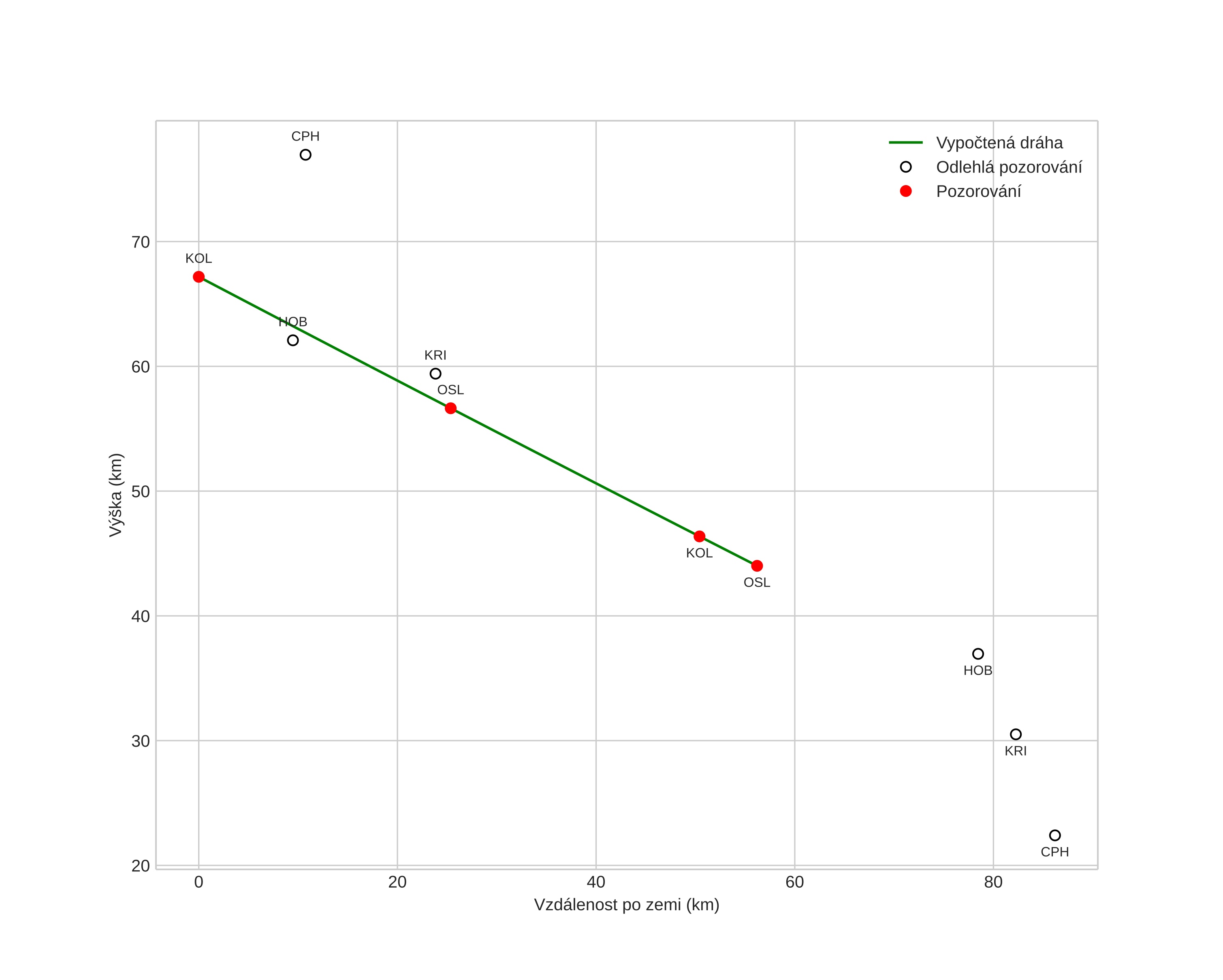
height profile
Atmosférická dráha meteoru:
Počáteční výška: 67,2 km
Konečná výška: 44,0 km
Počáteční poloha: 55,332N 13,555E
Konečná poloha: 55,805N 13,870E
Směr: 20,5°
Sklon: 22,4°
VstupnĂ­ rychlost: 13,1 km/s
Rektascenze radiantu: 21:07 (316,8°)
Deklinace radiantu: -32,2°
MeteorickĂ˝ roj: sporadickĂ˝
Elementy dráhy meteoroidu:
Vzdálenost v periheliu: 0,977 AU
Excentricita: 0,490
Sklon dráhy: 2,9°
Délka vzestupného uzlu: 66,7°
Argument perihelia: 346,3°
Střední anomálie: 4,1°
Epocha: 2016 NOV 28 17:25:29
orbit plot

NeinteraktivnĂ­ graf | InteraktivnĂ­ graf

position vs time
speed and acceleration