🇳🇴 🇬🇧 🇩🇪 🇨🇿 🇫🇮

Meteor, poloha: Otta 2016-11-29 03:35:46 UTC

Soubor KML  |  InteraktivnĂ­ mapa

Mapa zobrazuje dráhy meteoru. Světlejší čáry ukazují směry od pozorovacích stanic při objevení se meteoru a tmavší čáry, kde byl naposledy viděn. Modrá šipka značí viditelnou dráhu meteoru.

static map
height profile
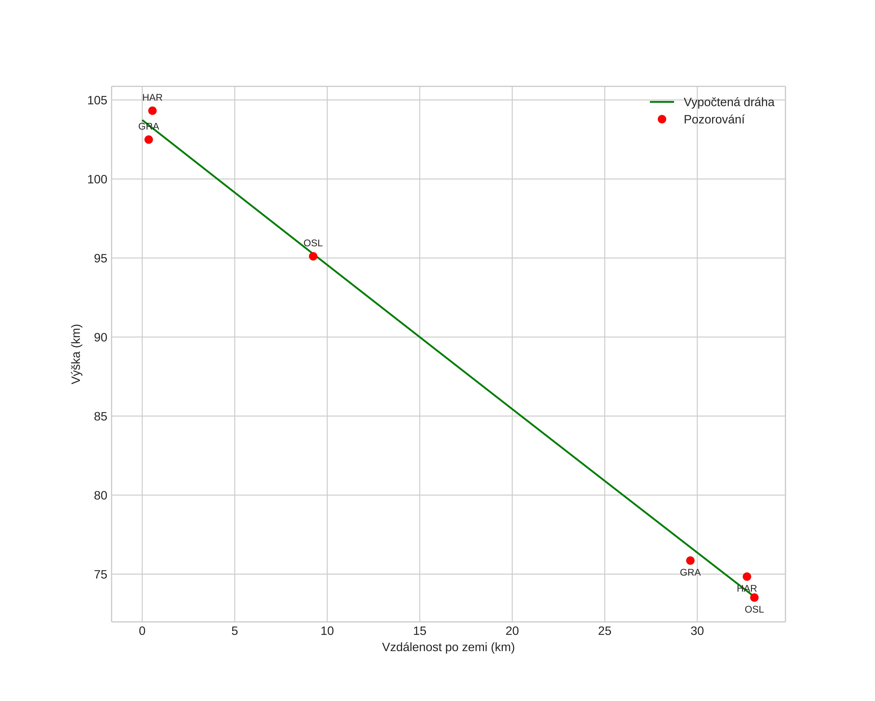
Atmosférická dráha meteoru:
Počáteční výška: 103,7 km
Konečná výška: 73,5 km
Počáteční poloha: 62,142N 9,676E
Konečná poloha: 61,871N 9,411E
Směr: 204,8°
Sklon: 42,4°
VstupnĂ­ rychlost: 39,6 km/s
Rektascenze radiantu: 17:41 (265,3°)
Deklinace radiantu: 64,7°
MeteorickĂ˝ roj: sporadickĂ˝
Elementy dráhy meteoroidu:
Vzdálenost v periheliu: 0,986 AU
Excentricita: 1,561
Sklon dráhy: 52,1°
Délka vzestupného uzlu: 247,1°
Argument perihelia: 177,5°
Střední anomálie: 0,7°
Epocha: 2016 NOV 29 03:35:46
orbit plot

NeinteraktivnĂ­ graf | InteraktivnĂ­ graf

position vs time
speed and acceleration