🇳🇴 🇬🇧 🇩🇪 🇨🇿 🇫🇮

Meteor, poloha: Lillesand 2016-11-29 21:49:19 UTC

Soubor KML  |  InteraktivnĂ­ mapa

Mapa zobrazuje dráhy meteoru. Světlejší čáry ukazují směry od pozorovacích stanic při objevení se meteoru a tmavší čáry, kde byl naposledy viděn. Modrá šipka značí viditelnou dráhu meteoru.

static map
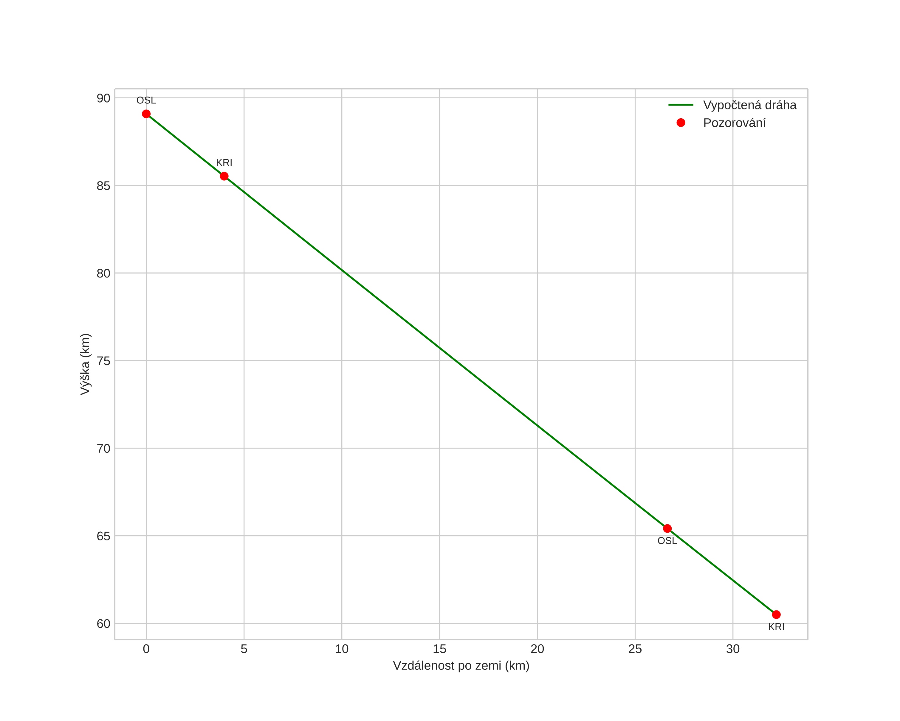
height profile
Atmosférická dráha meteoru:
Počáteční výška: 89,1 km
Konečná výška: 60,5 km
Počáteční poloha: 57,677N 8,541E
Konečná poloha: 57,964N 8,621E
Směr: 8,5°
Sklon: 41,6°
VstupnĂ­ rychlost: 16,8 km/s
Rektascenze radiantu: 02:27 (36,9°)
Deklinace radiantu: 2,1°
MeteorickĂ˝ roj: sporadickĂ˝
Elementy dráhy meteoroidu:
Vzdálenost v periheliu: 0,892 AU
Excentricita: 0,679
Sklon dráhy: 4,0°
Délka vzestupného uzlu: 67,9°
Argument perihelia: 40,2°
Střední anomálie: 353,9°
Epocha: 2016 NOV 29 21:49:19
orbit plot

NeinteraktivnĂ­ graf | InteraktivnĂ­ graf

position vs time
speed and acceleration