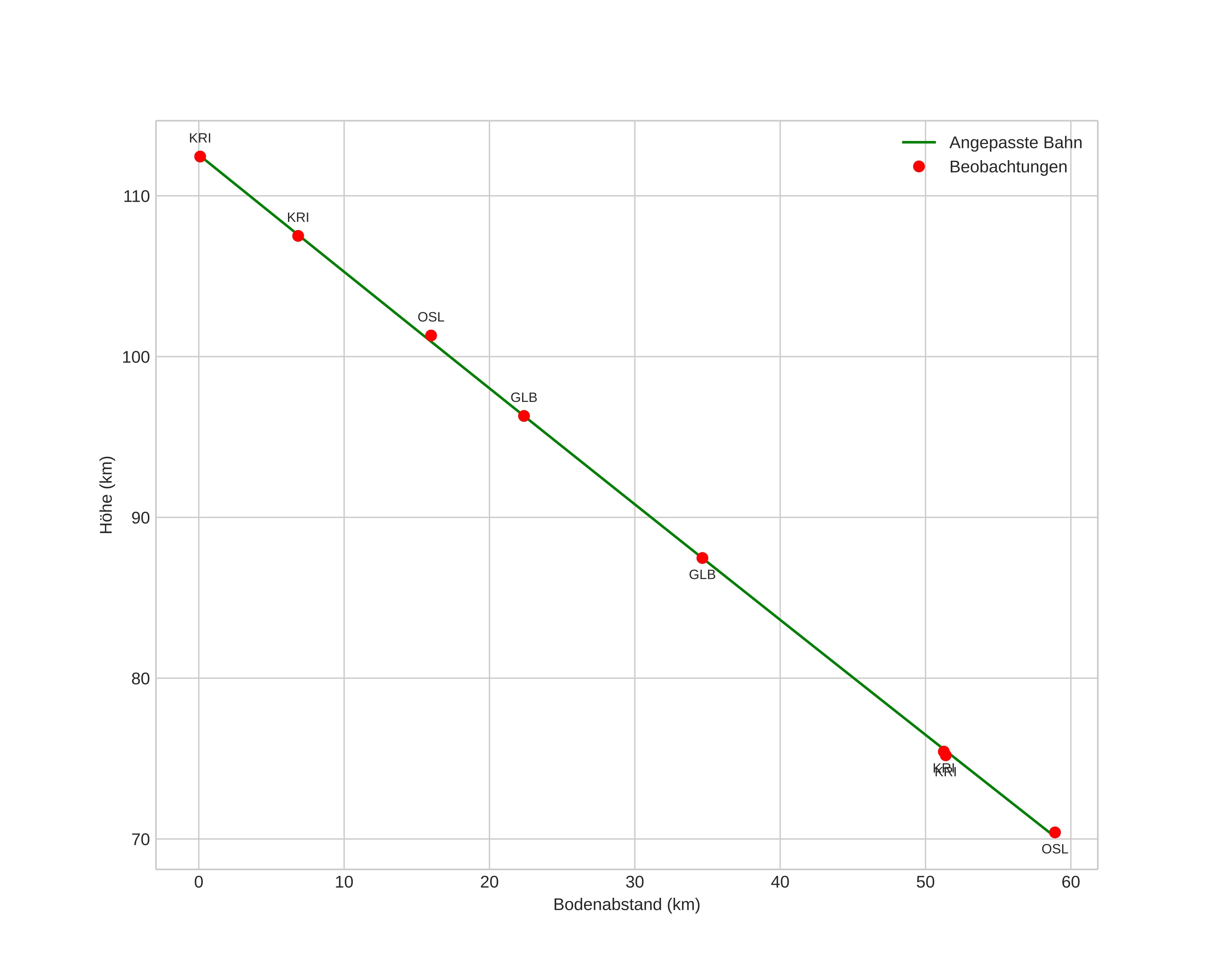
Atmosférická dráha meteoru:
| Počátečnà výška: | 112,6 km |
| Konečná výška: | 70,2 km |
| Počátečnà poloha: | 57,491N 9,826E |
| Konečná poloha: | 58,004N 9,591E |
| Směr: | 346,4° |
| Sklon: | 35,8° |
| VstupnĂ rychlost: | 61,1 km/s |
| Rektascenze radiantu: | 07:54 (118,5°) |
| Deklinace radiantu: | 3,5° |
| MeteorickĂ˝ roj: | sporadickĂ˝ |
|
Elementy dráhy meteoroidu:
| Vzdálenost v periheliu: | 0,291 AU |
| Excentricita: | 1,004 |
| Sklon dráhy: | 130,3° |
| Délka vzestupného uzlu: | 68,1° |
| Argument perihelia: | 114,0° |
| Střednà anomálie: | -0,1° |
| Epocha: | 2016 NOV 30 01:54:58 |
|