🇳🇴 🇬🇧 🇩🇪 🇨🇿 🇫🇮

Meteor, poloha: Hirtshals 2016-11-30 01:54:58 UTC

Soubor KML  |  InteraktivnĂ­ mapa

Mapa zobrazuje dráhy meteoru. Světlejší čáry ukazují směry od pozorovacích stanic při objevení se meteoru a tmavší čáry, kde byl naposledy viděn. Modrá šipka značí viditelnou dráhu meteoru.

static map
height profile
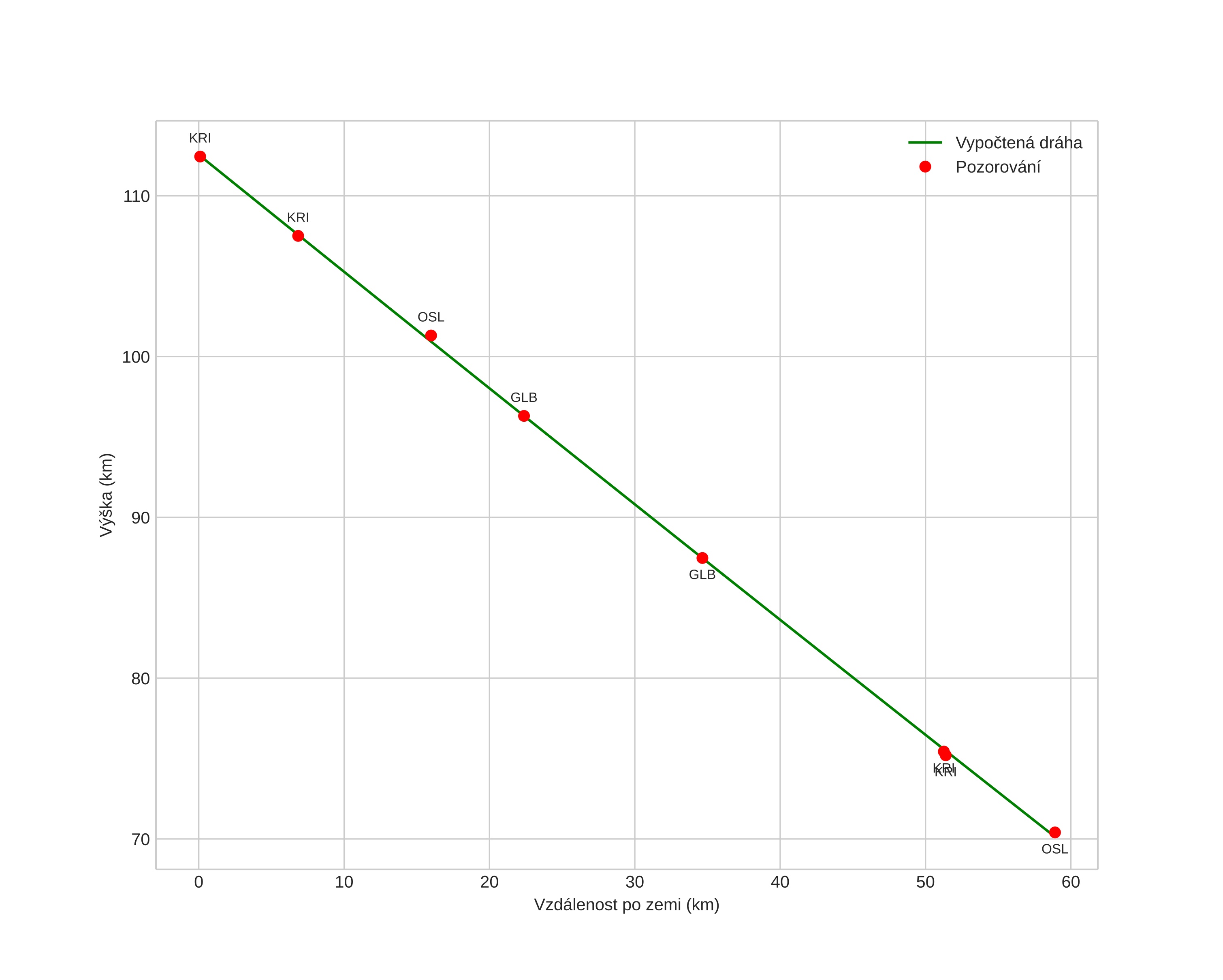
Atmosférická dráha meteoru:
Počáteční výška: 112,6 km
Konečná výška: 70,2 km
Počáteční poloha: 57,491N 9,826E
Konečná poloha: 58,004N 9,591E
Směr: 346,4°
Sklon: 35,8°
VstupnĂ­ rychlost: 61,1 km/s
Rektascenze radiantu: 07:54 (118,5°)
Deklinace radiantu: 3,5°
MeteorickĂ˝ roj: sporadickĂ˝
Elementy dráhy meteoroidu:
Vzdálenost v periheliu: 0,291 AU
Excentricita: 1,004
Sklon dráhy: 130,3°
Délka vzestupného uzlu: 68,1°
Argument perihelia: 114,0°
Střední anomálie: -0,1°
Epocha: 2016 NOV 30 01:54:58
orbit plot

NeinteraktivnĂ­ graf | InteraktivnĂ­ graf

position vs time
speed and acceleration