🇳🇴 🇬🇧 🇩🇪 🇨🇿 🇫🇮

Meteor, poloha: Skotterud 2016-11-30 03:07:03 UTC

Soubor KML  |  InteraktivnĂ­ mapa

Mapa zobrazuje dráhy meteoru. Světlejší čáry ukazují směry od pozorovacích stanic při objevení se meteoru a tmavší čáry, kde byl naposledy viděn. Modrá šipka značí viditelnou dráhu meteoru.

static map
height profile
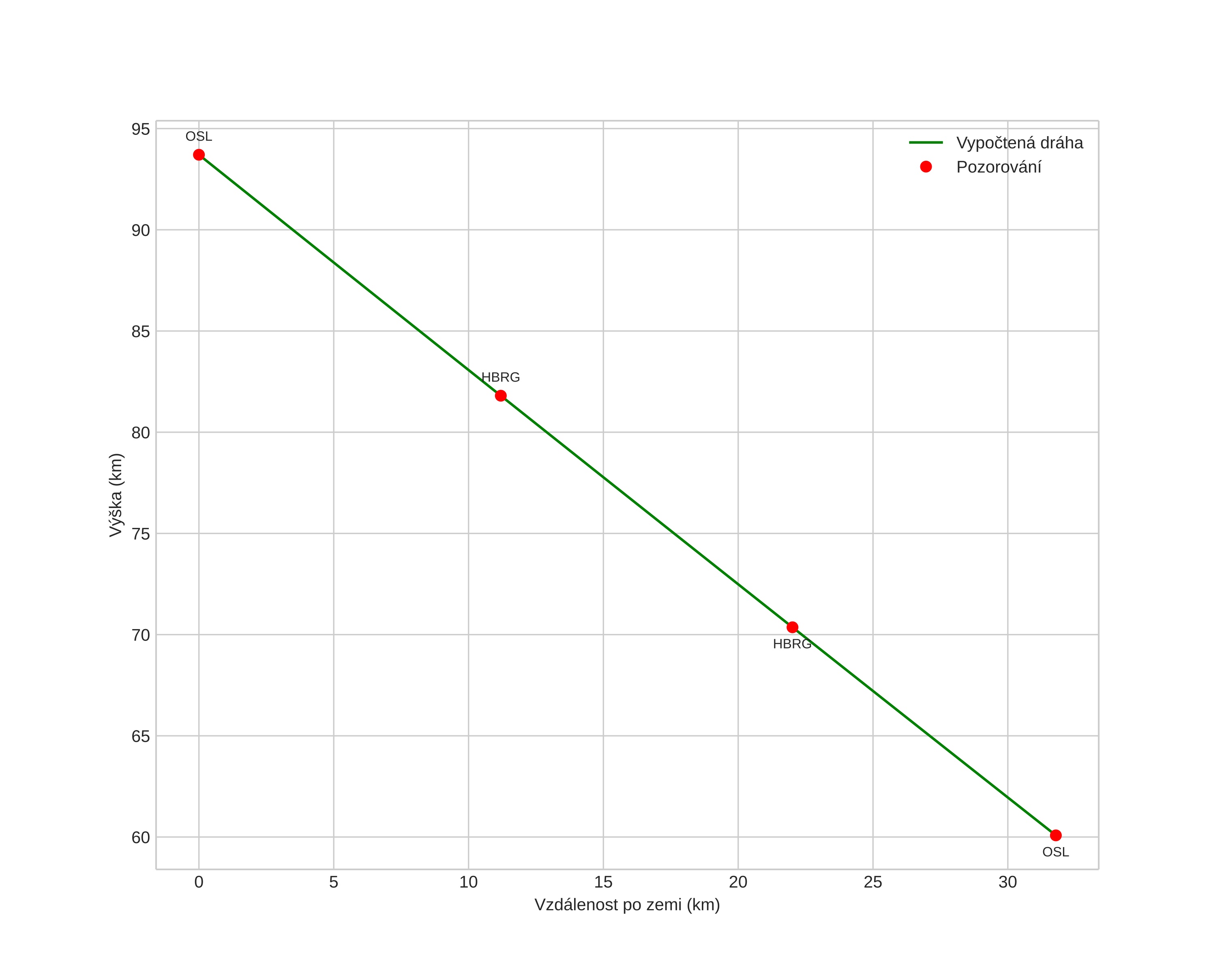
Atmosférická dráha meteoru:
Počáteční výška: 93,7 km
Konečná výška: 60,1 km
Počáteční poloha: 60,397N 12,275E
Konečná poloha: 60,118N 12,156E
Směr: 191,9°
Sklon: 46,6°
VstupnĂ­ rychlost: 29,6 km/s
Rektascenze radiantu: 18:39 (279,8°)
Deklinace radiantu: 73,2°
MeteorickĂ˝ roj: sporadickĂ˝
Elementy dráhy meteoroidu:
Vzdálenost v periheliu: 0,977 AU
Excentricita: 0,855
Sklon dráhy: 41,9°
Délka vzestupného uzlu: 248,1°
Argument perihelia: 191,6°
Střední anomálie: 359,5°
Epocha: 2016 NOV 30 03:07:03
orbit plot

NeinteraktivnĂ­ graf | InteraktivnĂ­ graf

position vs time
speed and acceleration