🇳🇴 🇬🇧 🇩🇪 🇨🇿 🇫🇮

Meteor, poloha: Klitmøller 2016-11-30 03:27:41 UTC

Soubor KML  |  InteraktivnĂ­ mapa

Mapa zobrazuje dráhy meteoru. Světlejší čáry ukazují směry od pozorovacích stanic při objevení se meteoru a tmavší čáry, kde byl naposledy viděn. Modrá šipka značí viditelnou dráhu meteoru.

static map
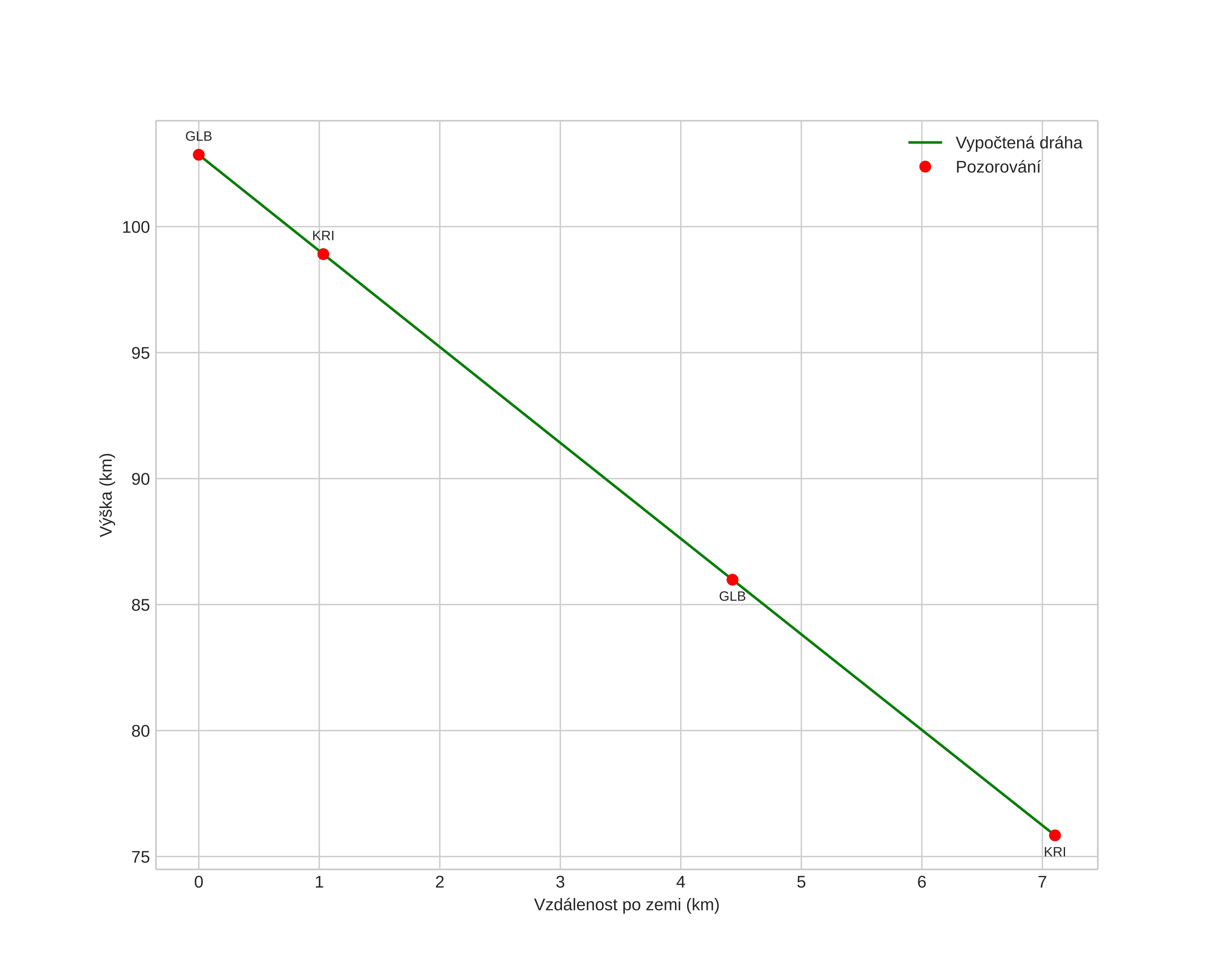
height profile
Atmosférická dráha meteoru:
Počáteční výška: 102,9 km
Konečná výška: 75,8 km
Počáteční poloha: 57,008N 8,283E
Konečná poloha: 57,069N 8,318E
Směr: 17,4°
Sklon: 75,3°
VstupnĂ­ rychlost: 50,8 km/s
Rektascenze radiantu: 08:11 (122,9°)
Deklinace radiantu: 42,5°
MeteorickĂ˝ roj: sporadickĂ˝
Elementy dráhy meteoroidu:
Vzdálenost v periheliu: 0,207 AU
Excentricita: 0,894
Sklon dráhy: 101,3°
Délka vzestupného uzlu: 248,1°
Argument perihelia: 312,4°
Střední anomálie: 346,2°
Epocha: 2016 NOV 30 03:27:41
orbit plot

NeinteraktivnĂ­ graf | InteraktivnĂ­ graf

position vs time
speed and acceleration