🇳🇴 🇬🇧 🇩🇪 🇨🇿 🇫🇮

Meteor, poloha: Valle 2016-12-01 18:00:55 UTC

Soubor KML  |  InteraktivnĂ­ mapa

Mapa zobrazuje dráhy meteoru. Světlejší čáry ukazují směry od pozorovacích stanic při objevení se meteoru a tmavší čáry, kde byl naposledy viděn. Modrá šipka značí viditelnou dráhu meteoru.

static map
height profile
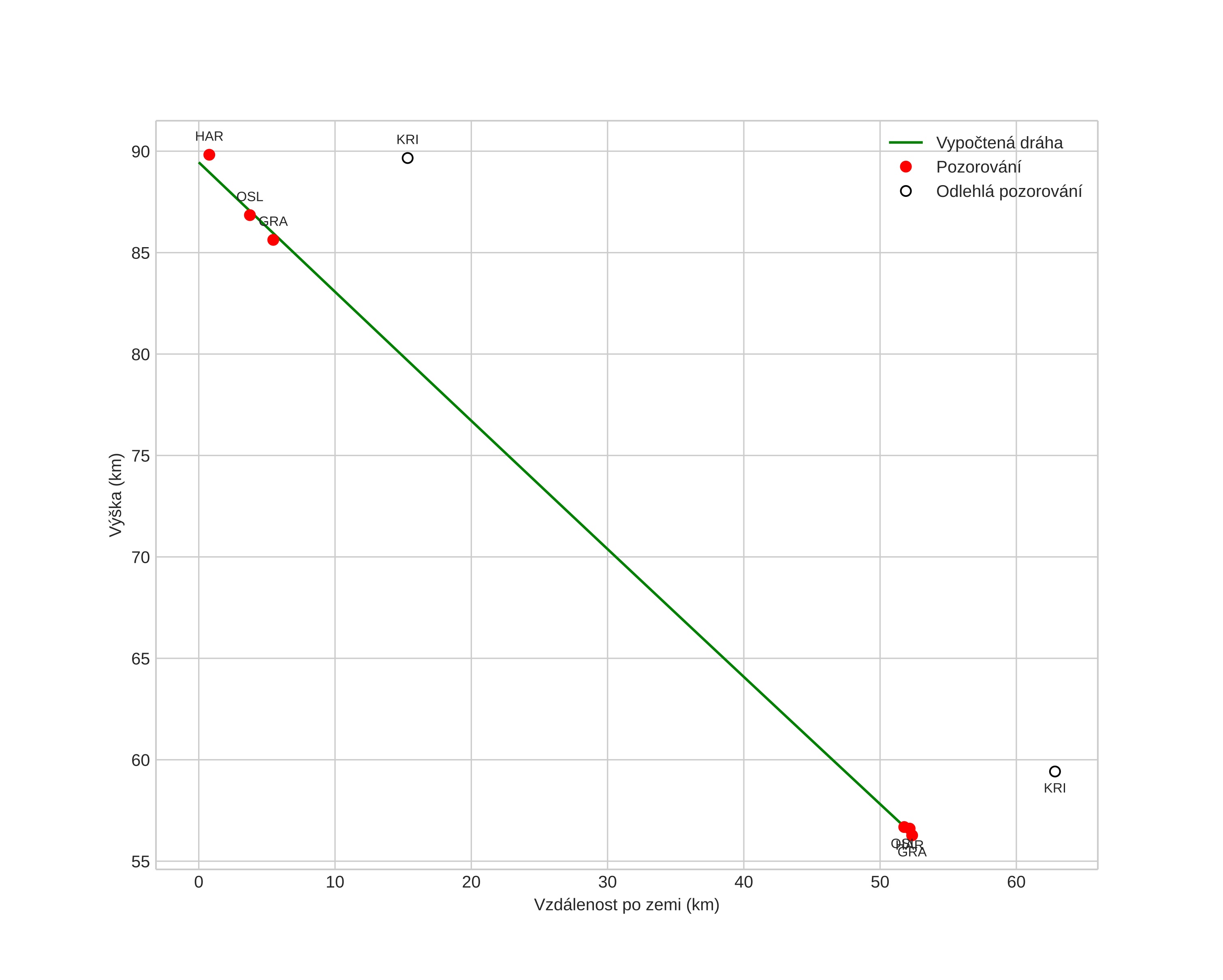
Atmosférická dráha meteoru:
Počáteční výška: 89,5 km
Konečná výška: 56,3 km
Počáteční poloha: 59,339N 8,528E
Konečná poloha: 59,293N 7,610E
Směr: 264,8°
Sklon: 32,4°
VstupnĂ­ rychlost: 22,1 km/s
Rektascenze radiantu: 04:33 (68,5°)
Deklinace radiantu: 26,4°
MeteorickĂ˝ roj: sporadickĂ˝
Elementy dráhy meteoroidu:
Vzdálenost v periheliu: 0,600 AU
Excentricita: 0,635
Sklon dráhy: 2,8°
Délka vzestupného uzlu: 249,7°
Argument perihelia: 270,5°
Střední anomálie: 337,3°
Epocha: 2016 DEC 01 18:00:55
orbit plot

NeinteraktivnĂ­ graf | InteraktivnĂ­ graf

position vs time
speed and acceleration