🇳🇴 🇬🇧 🇩🇪 🇨🇿 🇫🇮

Meteor über Noresund 2016-12-02 04:01:14 UTC

Gran – 1
Gran – 1
Gran – 2
Gran – 2
Harestua – 1
Harestua – 1
Voksenlia – 2
Voksenlia – 2
Voksenlia – 3
Voksenlia – 3

KML-Datei  | Interaktive Karte

map

Die Karte zeigt die Peilungen für den Meteor. Die helleren Linien zeigen die Richtungen von den Beobachtungsorten beim Erscheinen des Meteors, und die dunkleren Linien, wo er zuletzt gesehen wurde. Der blaue Pfeil zeigt die sichtbare Bahn des Meteors.

height profile
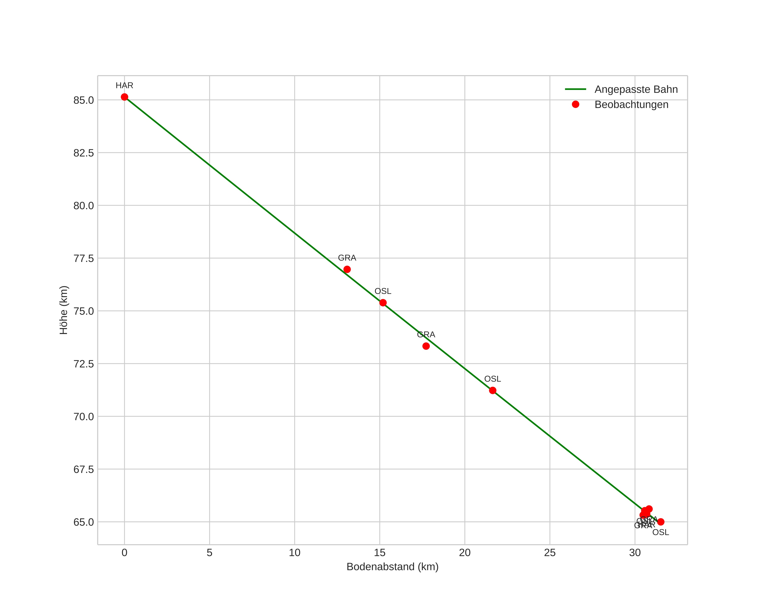
Atmosphärische Bahn des Meteors:
Anfangshöhe: 85,1 km
Endhöhe: 64,9 km
Startposition: 60,267N 9,135E
Endposition: 60,269N 9,706E
Richtung: 89,3°
Neigungswinkel: 32,7°
Eintrittsgeschwindigkeit: 26,0 km/s
Rektaszension des Radianten: 04:26 (66,7°)
Deklination des Radianten: 24,7°
Meteorstrom: Nördliche Tauriden
Bahnelemente des Meteoroiden:
Periheldistanz: 0,569 AU
Exzentrizität: 0,820
Inklination: 2,3°
Länge des aufsteigenden Knotens: 250,1°
Argument des Perihels: 266,5°
Mittlere Anomalie: 352,6°
Epoche: 2016 DEC 02 04:01:14
orbit

Nicht-interaktives Diagramm | Interaktives Diagramm

position vs time
speed & acceleration