🇳🇴 🇬🇧 🇩🇪 🇨🇿 🇫🇮

Meteor, poloha: Årjäng 2016-12-02 22:27:44 UTC

Soubor KML  |  InteraktivnĂ­ mapa

Mapa zobrazuje dráhy meteoru. Světlejší čáry ukazují směry od pozorovacích stanic při objevení se meteoru a tmavší čáry, kde byl naposledy viděn. Modrá šipka značí viditelnou dráhu meteoru.

static map
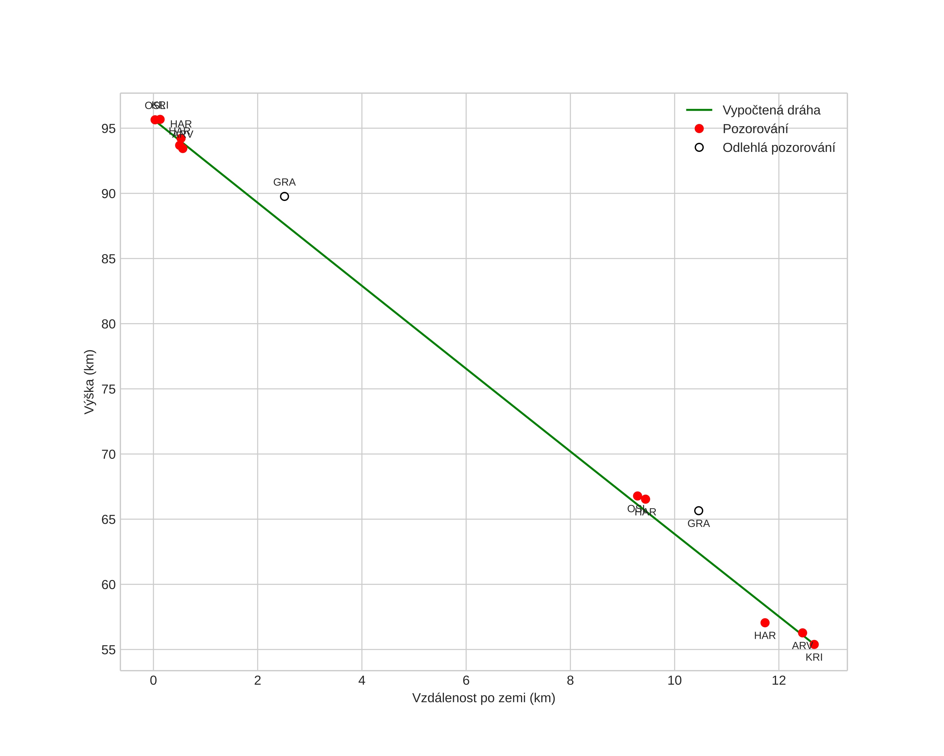
height profile
Atmosférická dráha meteoru:
Počáteční výška: 95,7 km
Konečná výška: 55,4 km
Počáteční poloha: 59,149N 11,777E
Konečná poloha: 59,175N 11,994E
Směr: 77,0°
Sklon: 72,5°
VstupnĂ­ rychlost: 19,3 km/s
Rektascenze radiantu: 01:56 (29,2°)
Deklinace radiantu: 50,1°
MeteorickĂ˝ roj: sporadickĂ˝
Elementy dráhy meteoroidu:
Vzdálenost v periheliu: 0,869 AU
Excentricita: 0,699
Sklon dráhy: 14,5°
Délka vzestupného uzlu: 250,9°
Argument perihelia: 224,6°
Střední anomálie: 353,8°
Epocha: 2016 DEC 02 22:27:44
orbit plot

NeinteraktivnĂ­ graf | InteraktivnĂ­ graf

position vs time
speed and acceleration