🇳🇴 🇬🇧 🇩🇪 🇨🇿 🇫🇮

Meteor, poloha: Askim 2016-12-03 23:46:51 UTC

Soubor KML  |  InteraktivnĂ­ mapa

Mapa zobrazuje dráhy meteoru. Světlejší čáry ukazují směry od pozorovacích stanic při objevení se meteoru a tmavší čáry, kde byl naposledy viděn. Modrá šipka značí viditelnou dráhu meteoru.

static map
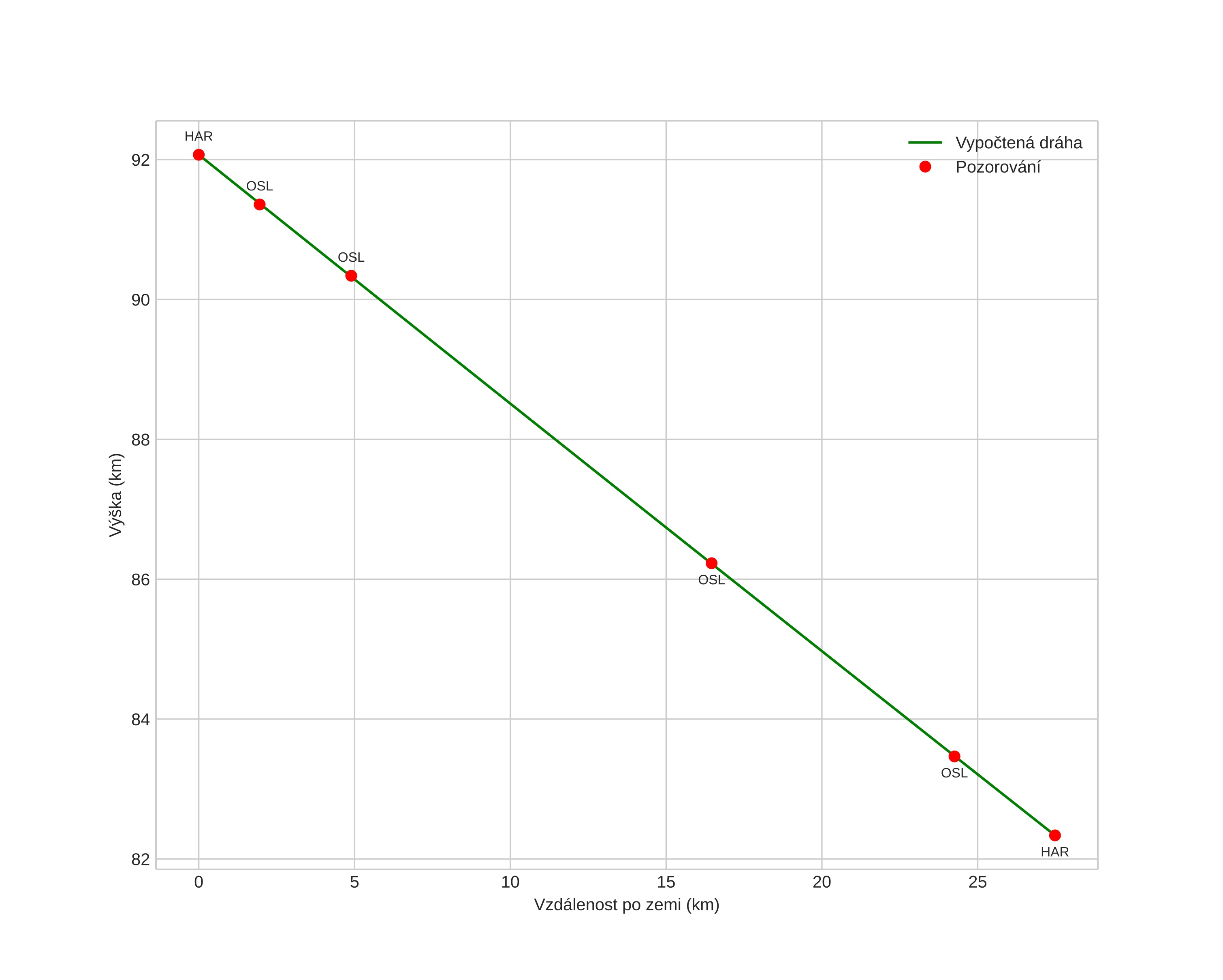
height profile
Atmosférická dráha meteoru:
Počáteční výška: 92,1 km
Konečná výška: 82,3 km
Počáteční poloha: 59,371N 11,055E
Konečná poloha: 59,607N 11,200E
Směr: 17,2°
Sklon: 19,6°
VstupnĂ­ rychlost: 20,6 km/s
Rektascenze radiantu: 04:10 (62,6°)
Deklinace radiantu: -16,5°
MeteorickĂ˝ roj: sporadickĂ˝
Elementy dráhy meteoroidu:
Vzdálenost v periheliu: 0,825 AU
Excentricita: 0,676
Sklon dráhy: 17,1°
Délka vzestupného uzlu: 72,0°
Argument perihelia: 53,3°
Střední anomálie: 351,4°
Epocha: 2016 DEC 03 23:46:51
orbit plot

NeinteraktivnĂ­ graf | InteraktivnĂ­ graf

position vs time
speed and acceleration