🇳🇴 🇬🇧 🇩🇪 🇨🇿 🇫🇮

Meteor, poloha: Kyrkjebygda 2016-12-05 22:52:29 UTC

Soubor KML  |  InteraktivnĂ­ mapa

Mapa zobrazuje dráhy meteoru. Světlejší čáry ukazují směry od pozorovacích stanic při objevení se meteoru a tmavší čáry, kde byl naposledy viděn. Modrá šipka značí viditelnou dráhu meteoru.

static map
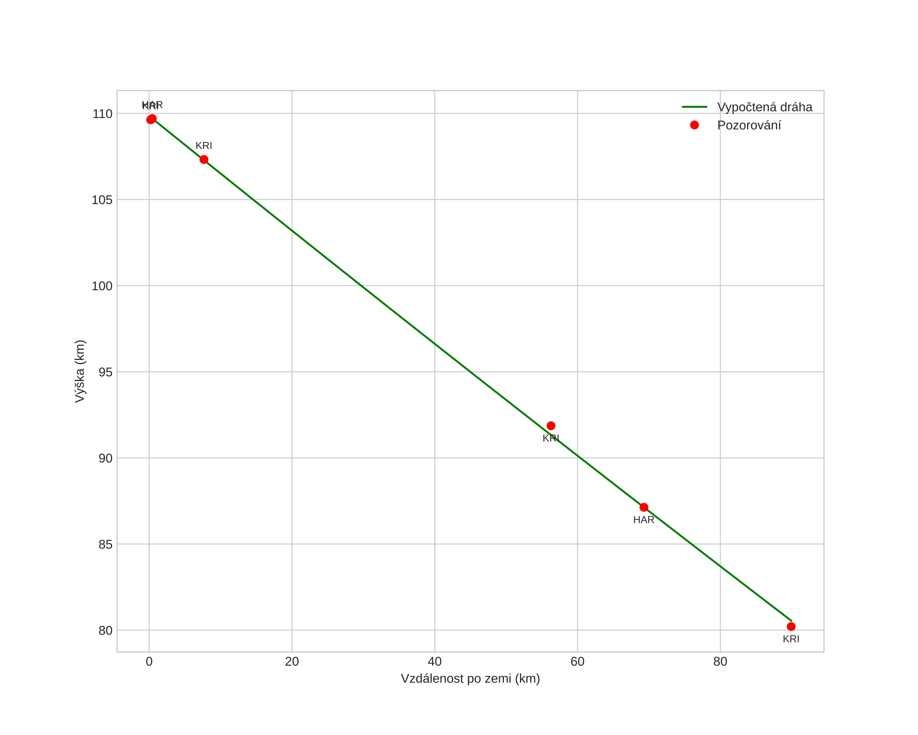
height profile
Atmosférická dráha meteoru:
Počáteční výška: 109,8 km
Konečná výška: 80,5 km
Počáteční poloha: 59,288N 8,381E
Konečná poloha: 58,753N 7,200E
Směr: 229,2°
Sklon: 18,0°
VstupnĂ­ rychlost: 64,3 km/s
Rektascenze radiantu: 12:17 (184,4°)
Deklinace radiantu: 35,3°
MeteorickĂ˝ roj: sporadickĂ˝
Elementy dráhy meteoroidu:
Vzdálenost v periheliu: 0,978 AU
Excentricita: 0,927
Sklon dráhy: 122,2°
Délka vzestupného uzlu: 254,0°
Argument perihelia: 170,1°
Střední anomálie: 0,1°
Epocha: 2016 DEC 05 22:52:29
orbit plot

NeinteraktivnĂ­ graf | InteraktivnĂ­ graf

position vs time
speed and acceleration