🇳🇴 🇬🇧 🇩🇪 🇨🇿 🇫🇮

Meteor, poloha: Fedje 2016-12-06 04:15:04 UTC

Soubor KML  |  InteraktivnĂ­ mapa

Mapa zobrazuje dráhy meteoru. Světlejší čáry ukazují směry od pozorovacích stanic při objevení se meteoru a tmavší čáry, kde byl naposledy viděn. Modrá šipka značí viditelnou dráhu meteoru.

static map
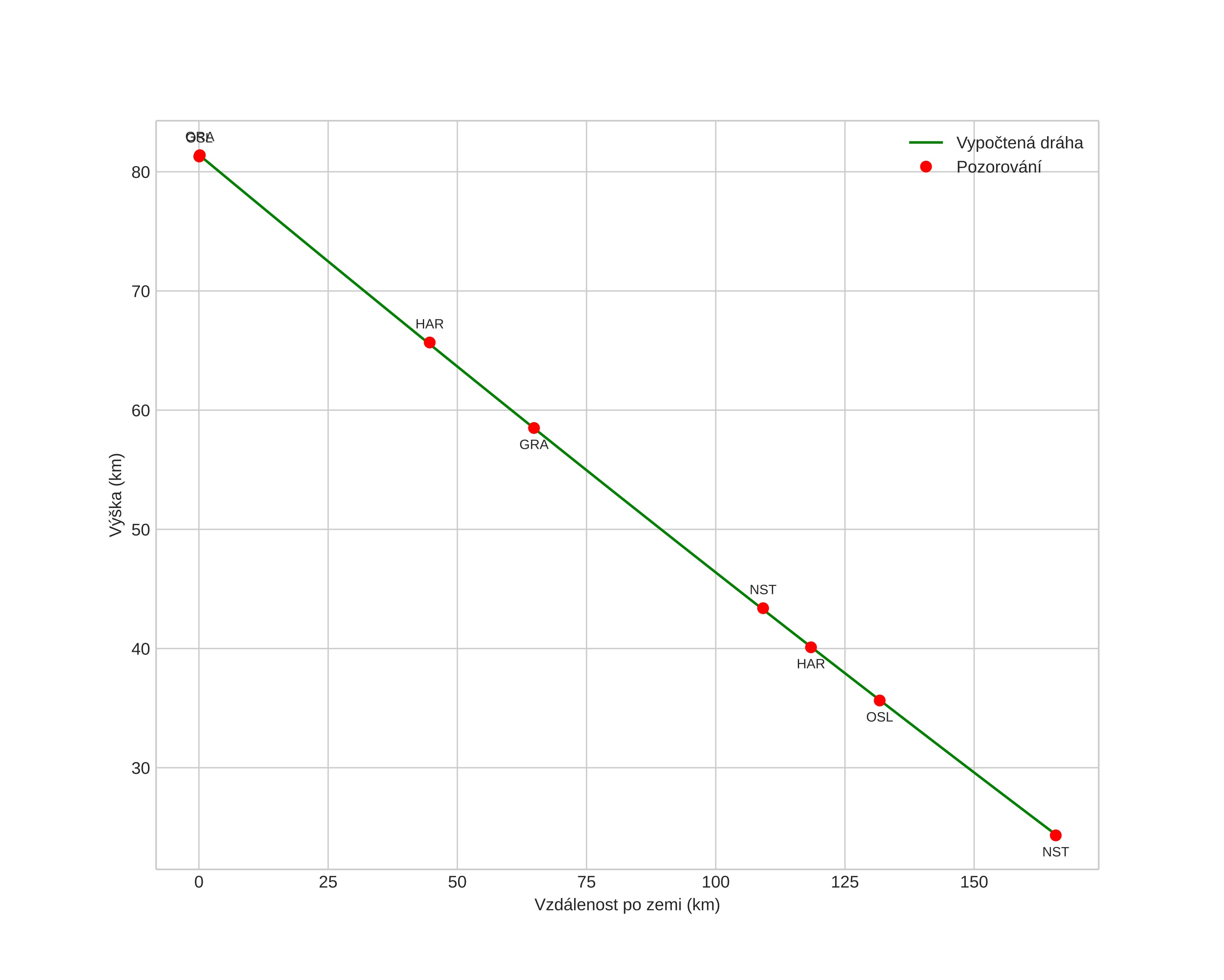
height profile
Atmosférická dráha meteoru:
Počáteční výška: 81,4 km
Konečná výška: 24,4 km
Počáteční poloha: 62,381N 0,150E
Konečná poloha: 61,201N 2,080E
Směr: 141,4°
Sklon: 19,0°
VstupnĂ­ rychlost: 13,3 km/s
Rektascenze radiantu: 00:02 (0,6°)
Deklinace radiantu: 17,4°
MeteorickĂ˝ roj: sporadickĂ˝
Elementy dráhy meteoroidu:
Vzdálenost v periheliu: 0,975 AU
Excentricita: 0,538
Sklon dráhy: 3,2°
Délka vzestupného uzlu: 254,2°
Argument perihelia: 194,0°
Střední anomálie: 356,4°
Epocha: 2016 DEC 06 04:15:04
orbit plot

NeinteraktivnĂ­ graf | InteraktivnĂ­ graf

position vs time
speed and acceleration