🇳🇴 🇬🇧 🇩🇪 🇨🇿 🇫🇮

Meteor, poloha: Arvika 2016-12-06 16:10:44 UTC

Soubor KML  |  InteraktivnĂ­ mapa

Mapa zobrazuje dráhy meteoru. Světlejší čáry ukazují směry od pozorovacích stanic při objevení se meteoru a tmavší čáry, kde byl naposledy viděn. Modrá šipka značí viditelnou dráhu meteoru.

static map
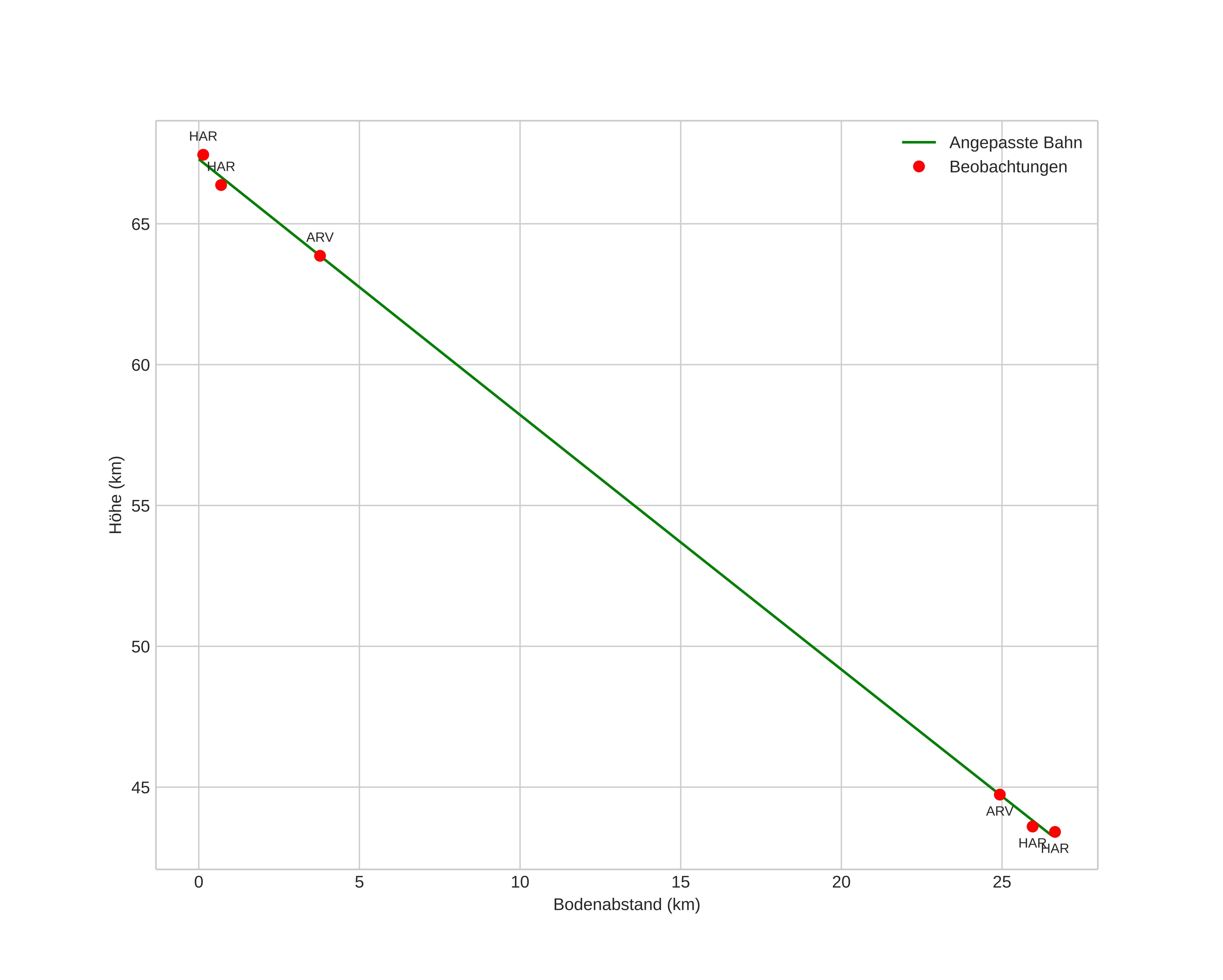
height profile
Atmosférická dráha meteoru:
Počáteční výška: 67,3 km
Konečná výška: 43,3 km
Počáteční poloha: 59,676N 12,669E
Konečná poloha: 59,913N 12,611E
Směr: 352,9°
Sklon: 42,1°
VstupnĂ­ rychlost: 11,6 km/s
Rektascenze radiantu: 22:25 (336,5°)
Deklinace radiantu: -16,3°
MeteorickĂ˝ roj: sporadickĂ˝
Elementy dráhy meteoroidu:
Vzdálenost v periheliu: 0,985 AU
Excentricita: 0,234
Sklon dráhy: 0,6°
Délka vzestupného uzlu: 75,0°
Argument perihelia: 355,8°
Střední anomálie: 2,4°
Epocha: 2016 DEC 06 16:10:44
orbit plot

NeinteraktivnĂ­ graf | InteraktivnĂ­ graf

position vs time
speed and acceleration