🇳🇴 🇬🇧 🇩🇪 🇨🇿 🇫🇮

Meteor Arvikan yllä 2016-12-06 16:10:44 UTC

KML-tiedosto  |  Interaktiivinen kartta

Kartta näyttää meteorin suuntahavainnot. Vaaleammat viivat näyttävät suunnat havaintoasemilta meteorin ilmestyessä, ja tummemmat viivat näyttävät, missä se viimeksi nähtiin. Sininen nuoli näyttää meteorin näkyvän lennon.

static map
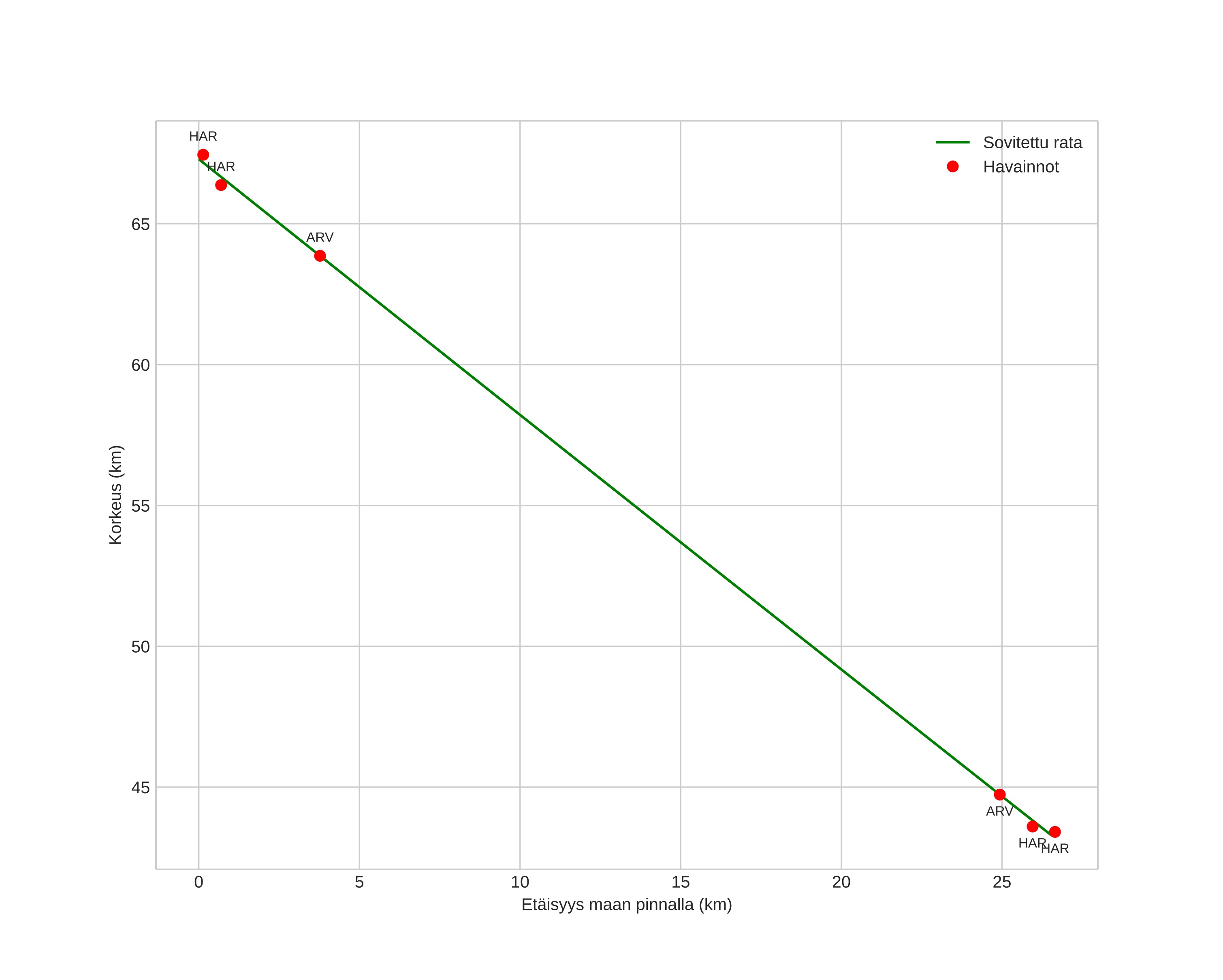
height profile
Meteorin ilmakehärata:
Alkukorkeus: 67,3 km
Loppukorkeus: 43,3 km
Alkupiste: 59,676N 12,669E
Loppupiste: 59,913N 12,611E
Suunta: 352,9°
Kallistuskulma: 42,1°
Tulonopeus: 11,6 km/s
Radiantin R,A,: 22:25 (336,5°)
Radiantin Dekl,: -16,3°
Meteoriparvi: Sporadinen
Meteoroidin rataelementit:
Perihelietäisyys: 0,985 AU
Eksentrisyys: 0,234
Inklinaatio: 0,6°
Nousevan solmun pituus: 75,0°
Perihelin argumentti: 355,8°
Keskianomalia: 2,4°
Epookki: 2016 DEC 06 16:10:44
orbit plot

Ei-interaktiivinen kuvaaja | Interaktiivinen kuvaaja

position vs time
speed and acceleration