🇳🇴 🇬🇧 🇩🇪 🇨🇿 🇫🇮

Meteor, poloha: Rødberg 2016-12-08 17:39:57 UTC

Soubor KML  |  InteraktivnĂ­ mapa

Mapa zobrazuje dráhy meteoru. Světlejší čáry ukazují směry od pozorovacích stanic při objevení se meteoru a tmavší čáry, kde byl naposledy viděn. Modrá šipka značí viditelnou dráhu meteoru.

static map
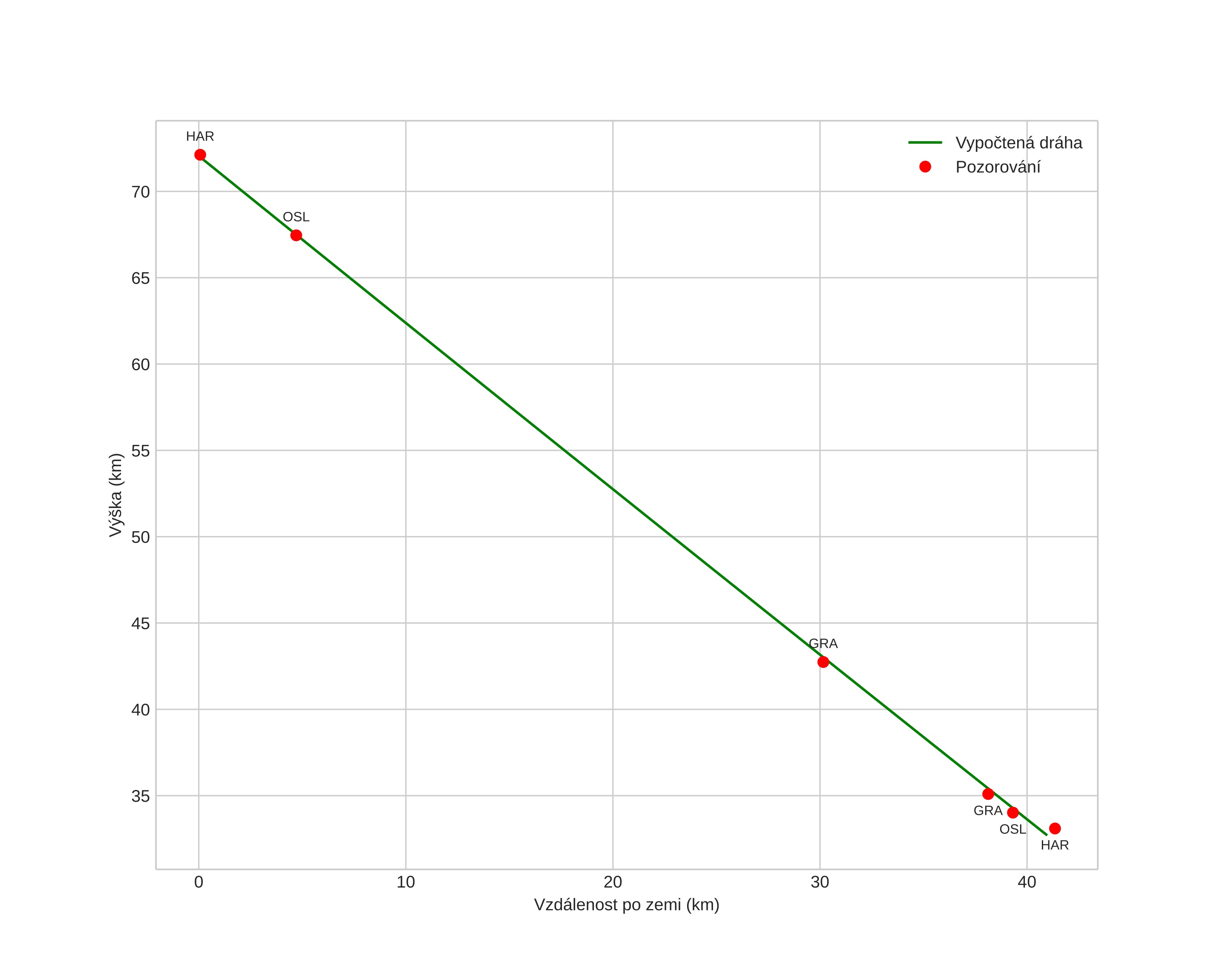
height profile
Atmosférická dráha meteoru:
Počáteční výška: 72,1 km
Konečná výška: 32,7 km
Počáteční poloha: 59,842N 8,889E
Konečná poloha: 60,210N 8,909E
Směr: 1,6°
Sklon: 43,9°
VstupnĂ­ rychlost: 13,4 km/s
Rektascenze radiantu: 23:15 (348,9°)
Deklinace radiantu: -0,1°
MeteorickĂ˝ roj: sporadickĂ˝
Elementy dráhy meteoroidu:
Vzdálenost v periheliu: 0,985 AU
Excentricita: 0,579
Sklon dráhy: 0,8°
Délka vzestupného uzlu: 256,7°
Argument perihelia: 182,7°
Střední anomálie: 359,4°
Epocha: 2016 DEC 08 17:39:57
orbit plot

NeinteraktivnĂ­ graf | InteraktivnĂ­ graf

position vs time
speed and acceleration