🇳🇴 🇬🇧 🇩🇪 🇨🇿 🇫🇮

Meteor, poloha: Arendal 2016-12-12 19:12:08 UTC

Soubor KML  |  InteraktivnĂ­ mapa

Mapa zobrazuje dráhy meteoru. Světlejší čáry ukazují směry od pozorovacích stanic při objevení se meteoru a tmavší čáry, kde byl naposledy viděn. Modrá šipka značí viditelnou dráhu meteoru.

static map
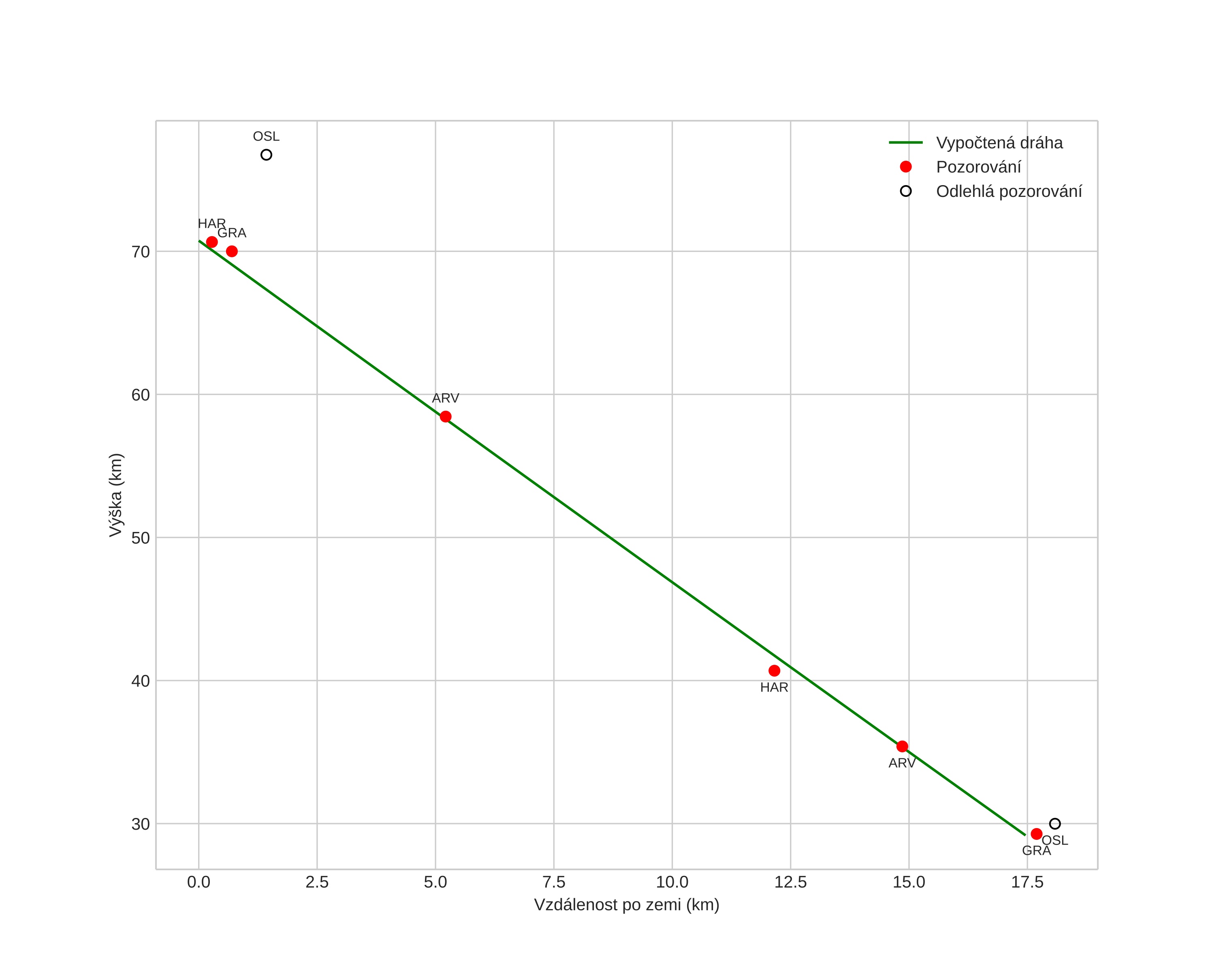
height profile
Atmosférická dráha meteoru:
Počáteční výška: 70,7 km
Konečná výška: 29,2 km
Počáteční poloha: 58,016N 9,231E
Konečná poloha: 58,155N 9,091E
Směr: 331,9°
Sklon: 67,2°
VstupnĂ­ rychlost: 15,9 km/s
Rektascenze radiantu: 02:08 (32,2°)
Deklinace radiantu: 33,1°
MeteorickĂ˝ roj: sporadickĂ˝
Elementy dráhy meteoroidu:
Vzdálenost v periheliu: 0,923 AU
Excentricita: 0,637
Sklon dráhy: 5,6°
Délka vzestupného uzlu: 261,0°
Argument perihelia: 213,0°
Střední anomálie: 354,1°
Epocha: 2016 DEC 12 19:12:08
orbit plot

NeinteraktivnĂ­ graf | InteraktivnĂ­ graf

position vs time
speed and acceleration