🇳🇴 🇬🇧 🇩🇪 🇨🇿 🇫🇮

Meteor, poloha: VĂĄler 2016-12-13 17:43:07 UTC

Soubor KML  |  InteraktivnĂ­ mapa

Mapa zobrazuje dráhy meteoru. Světlejší čáry ukazují směry od pozorovacích stanic při objevení se meteoru a tmavší čáry, kde byl naposledy viděn. Modrá šipka značí viditelnou dráhu meteoru.

static map
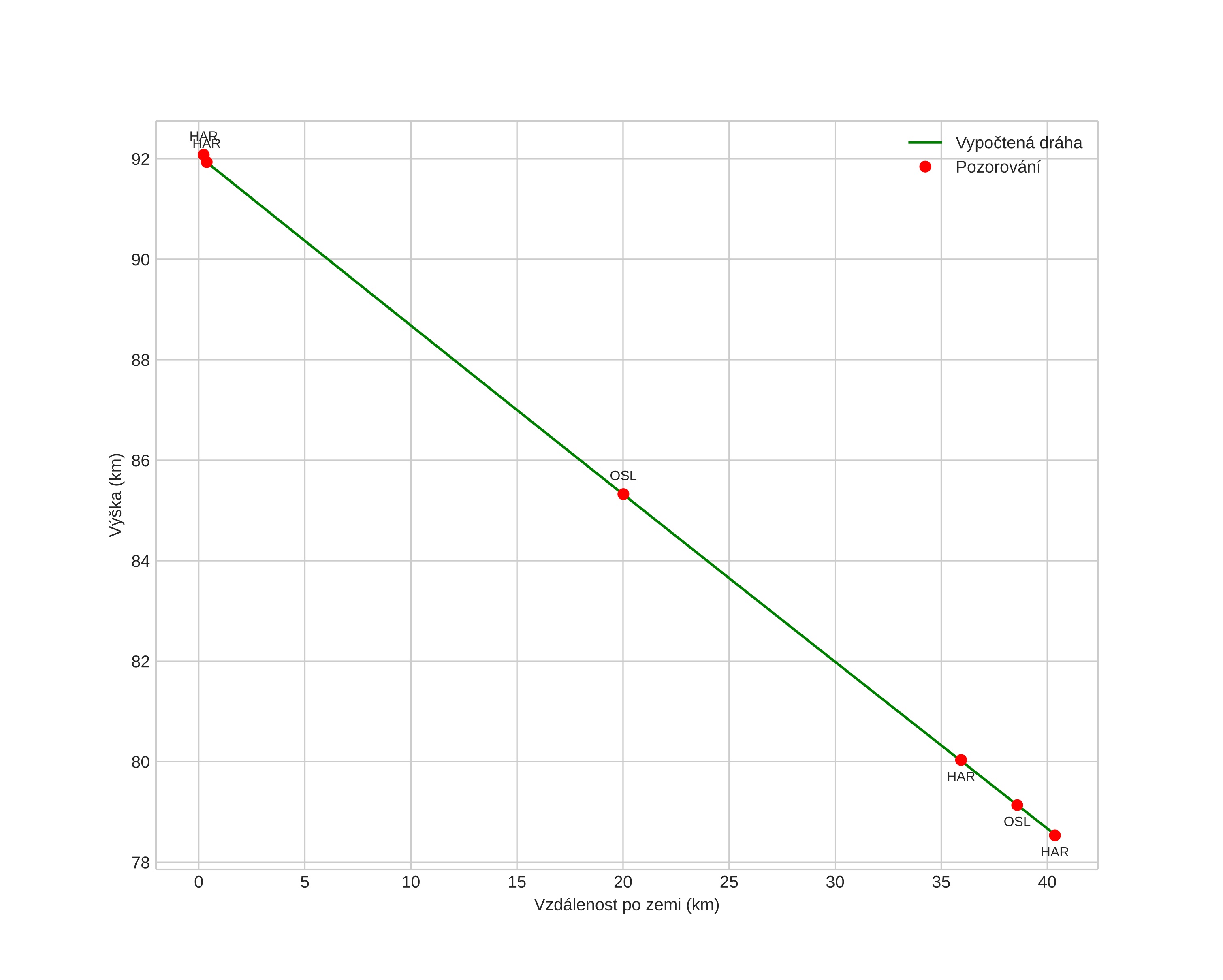
height profile
Atmosférická dráha meteoru:
Počáteční výška: 92,1 km
Konečná výška: 78,5 km
Počáteční poloha: 60,806N 12,270E
Konečná poloha: 60,598N 11,662E
Směr: 235,3°
Sklon: 18,6°
VstupnĂ­ rychlost: 33,6 km/s
Rektascenze radiantu: 07:36 (114,1°)
Deklinace radiantu: 30,9°
MeteorickĂ˝ roj: Geminidy
Elementy dráhy meteoroidu:
Vzdálenost v periheliu: 0,151 AU
Excentricita: 0,865
Sklon dráhy: 18,3°
Délka vzestupného uzlu: 261,9°
Argument perihelia: 325,6°
Střední anomálie: 327,1°
Epocha: 2016 DEC 13 17:43:07
orbit plot

NeinteraktivnĂ­ graf | InteraktivnĂ­ graf

position vs time
speed and acceleration